Đề thi Giữa kì 2 Toán 11 trường THPT Ngọc Lặc (Thanh Hóa) năm 2024–2025
Khoahoc.vietjack.com cập nhật Đề thi Giữa kì 2 Toán 11 trường THPT Ngọc Lặc, tỉnh Thanh Hóa năm 2024 – 2025 sẽ giúp học sinh lớp 11 có thêm tài liệu ôn thi Toán 11 Giữa học kì 2. Mời các bạn đón đọc:
Xem thử Đề thi GK2 Toán 11 KNTTXem thử Đề thi GK2 Toán 11 CTST Xem thử Đề thi GK2 Toán 11 CD
Chỉ từ 150k mua trọn bộ đề thi Toán 11 Giữa kì 2 theo cấu trúc mới bản word có lời giải chi tiết, dễ dàng chỉnh sửa:
A. Tóm tắt nội dung một số câu trong Đề thi Giữa kì 2 Toán 11
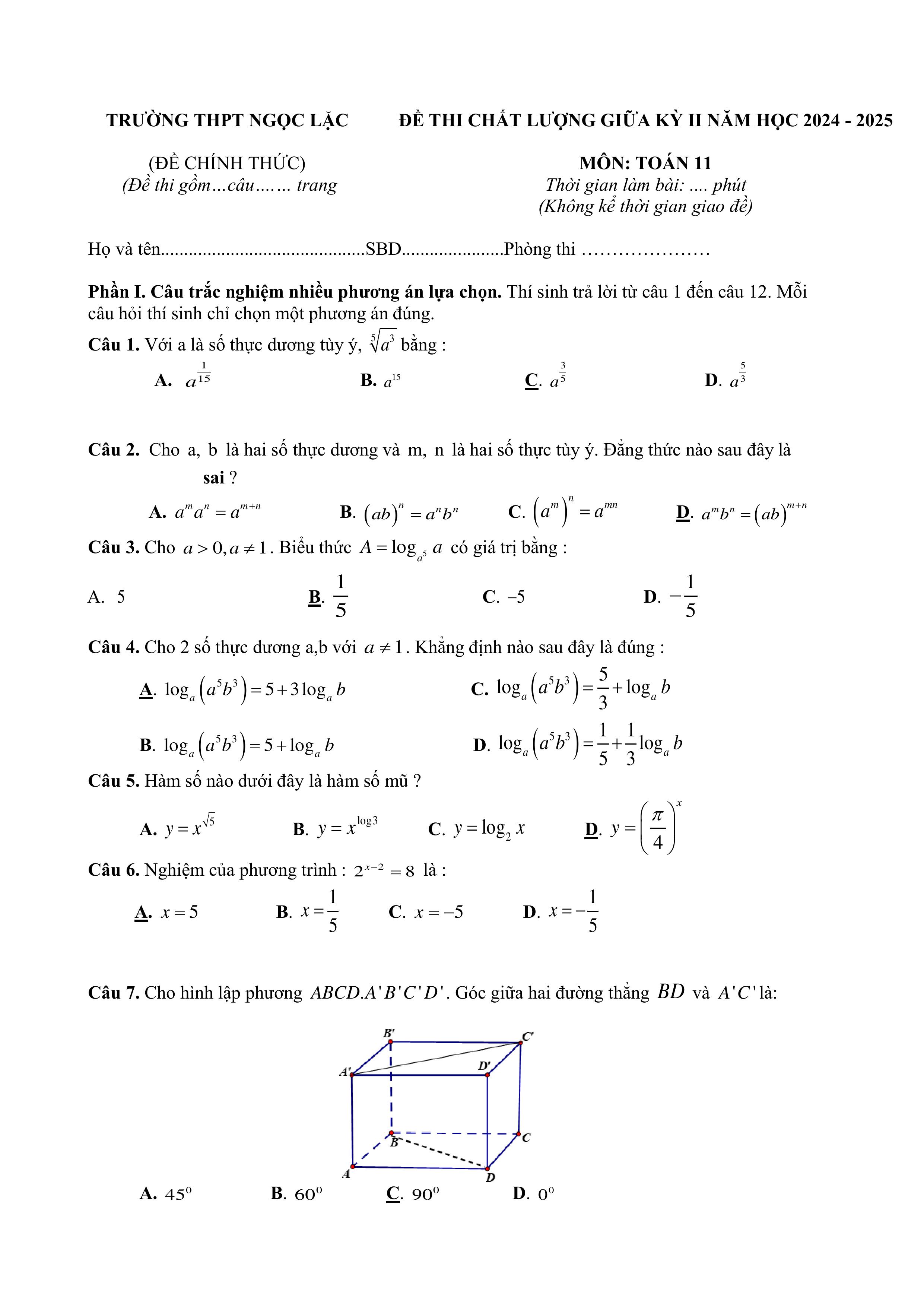
Phần I. Câu trắc nghiệm nhiều phương án lựa chọn. Thí sinh trả lời từ câu 1 đến câu 12. Mỗi câu hỏi thí sinh chỉ chọn một đáp án đúng
...........................................................................................
Phần II. Câu trắc nghiệm đúng sai. Thí sinh trả lời từ câu 1 đến câu 2. Trong mỗi ý a), b), c), d) ở mỗi câu, thí sinh chọn đúng hoặc sai
...........................................................................................
Phần III. Câu trắc nghiệm trả lời ngắn. Thí sinh trả lời từ câu 1 đến câu 4.
Câu 19. Trên mặt sân phẳng người ta dựng một chiếc cột cao 5 m vuông góc với mặt đất. Dưới ánh nắng mặt trời, bóng của cột trên mặt đất dài 9 m. Tính góc giữa đường thẳng chứa tia nắng mặt trời và mặt đất (tính gần đúng theo đơn vị độ, kết quả làm tròn đến hàng đơn vị).
Câu 20. Chất phóng xạ polonium-210 có chu kì bán rã 138 ngày. Điều này có nghĩa là cứ sau 138 ngày, lượng polomium còn lại trong mẫu chỉ bằng một nửa lượng ban đầu. Một mẫu khối lượng 100g có khối lượng polonium – 210 còn lại sau t (ngày) được tính theo công thức: M(t) = 100.(1/2)t/138 (g). Sau x ngày (x thuộc Z) thì khối lượng polonium – 210 còn lại nhỏ hơn 10 (g). Tính giá trị nhỏ nhất của x
...........................................................................................
B. Nội dung Đề thi giữa học kì 2 Toán 11 trường THPT Ngọc Lặc (Thanh Hóa) năm 2024–2025















C. Chiến lược ôn thi Giữa kì 2 Toán 11 hiệu quả
Qua đề thi Giữa kì 2 Toán 11 trường THPT Ngọc Lặc (Thanh Hóa) năm 2024–2025 trên, các em đã nắm được cấu trúc cũng như các dạng bài tập có trong đề thi. Cùng tham gia ôn luyện các Đề thi Giữa kì 2 Toán 11 theo cấu trúc mới nhất trên khoahoc.vietjack.com để ôn thi Toán 11 Giữa kì 2 đạt kết quả cao.