Đề thi Học kì 2 Toán 11 trường THPT Bình Chiểu (Hồ Chí Minh) năm 2024–2025
Khoahoc.vietjack.com cập nhật Đề thi Học kì 2 Toán 11 trường THPT Bình Chiểu, thành phố Hồ Chí Minh năm 2024 – 2025 sẽ giúp học sinh lớp 11 có thêm tài liệu ôn thi Toán 11 cuối kì 2. Mời các bạn đón đọc:
Xem thử Đề thi CK2 Toán 11 KNTTXem thử Đề thi CK2 Toán 11 CTST Xem thử Đề thi CK2 Toán 11 CD
Chỉ từ 150k mua trọn bộ đề thi Toán 11 Học kì 2 theo cấu trúc mới bản word có lời giải chi tiết, dễ dàng chỉnh sửa:
A. Tóm tắt nội dung một số câu trong Đề thi Học kì 2 Toán 11
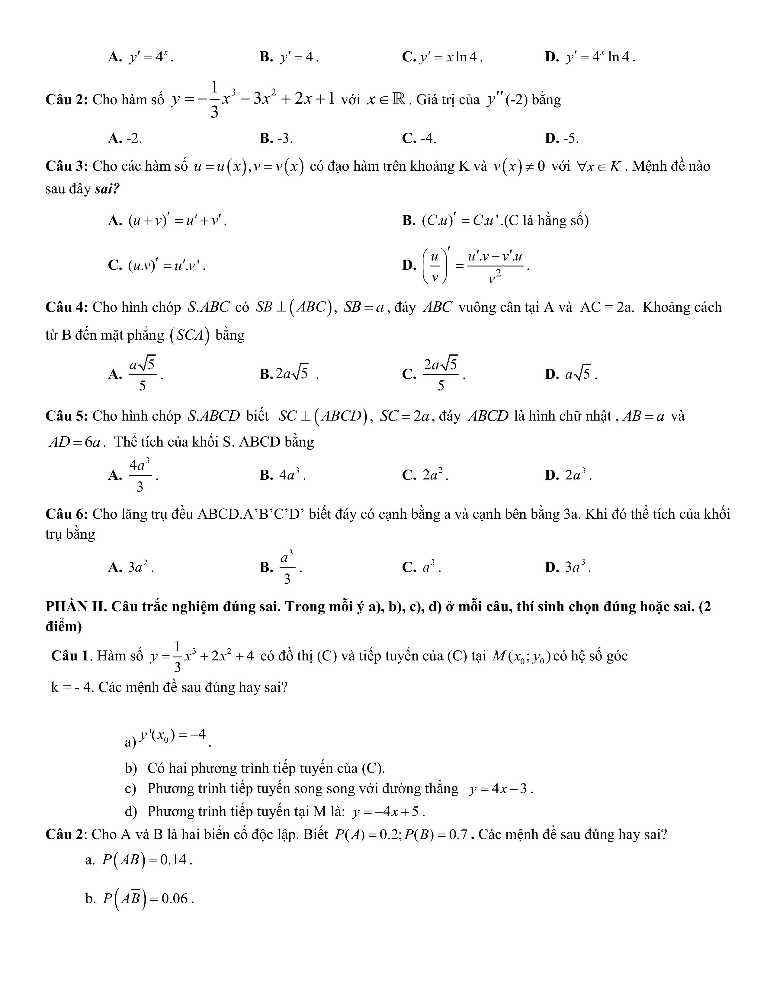
PHẦN I. Câu trắc nghiệm nhiều phương án lựa chọn. Mỗi câu hỏi thí sinh chỉ chọn một phương án. (3 điểm)
...........................................................................................
...........................................................................................
PHẦN III. Trả lời ngắn. (2 điểm)
...........................................................................................
...........................................................................................
B. Nội dung Đề thi Học kì 2 Toán 11 trường THPT Bình Chiểu (Hồ Chí Minh) năm 2024–2025







C. Chiến lược ôn thi Học kì 2 Toán 11 hiệu quả
Qua đề thi Học kì 2 Toán 11 trường THPT Bình Chiểu (Hồ Chí Minh) năm 2024–2025 trên, các em đã nắm được cấu trúc cũng như các dạng bài tập có trong đề thi. Cùng tham gia ôn luyện các Đề thi Học kì 2 Toán 11 theo cấu trúc mới nhất trên khoahoc.vietjack.com để ôn thi Toán 11 cuối kì 2 đạt kết quả cao.