Đề thi Giữa kì 2 Toán 11 trường THPT Nguyễn Chí Thanh (Tây Ninh) năm 2024–2025
Khoahoc.vietjack.com cập nhật Đề thi Giữa kì 2 Toán 11 trường THPT Nguyễn Chí Thanh, tỉnh Tây Ninh năm 2024 – 2025 sẽ giúp học sinh lớp 11 có thêm tài liệu ôn thi Toán 11 Giữa học kì 2. Mời các bạn đón đọc:
Xem thử Đề thi GK2 Toán 11 KNTTXem thử Đề thi GK2 Toán 11 CTST Xem thử Đề thi GK2 Toán 11 CD
Chỉ từ 150k mua trọn bộ đề thi Toán 11 Giữa kì 2 theo cấu trúc mới bản word có lời giải chi tiết, dễ dàng chỉnh sửa:
A. Tóm tắt nội dung một số câu trong Đề thi Giữa kì 2 Toán 11
Phần I. Trắc nghiệm nhiều lựa chọn
Câu 4. Cho hình chóp S.ABCD có đáy là hình vuông, cạnh bên SA vuông góc với đáy (ABCD). Khẳng định nào sau đây đúng?
Câu 11. Cho hình lập phương ABCD.A'B'C'D'. Đường thẳng nào sau đây vuông góc với đường thẳng BC'
...........................................................................................
Phần II. Trắc nghiệm Đúng/Sai
...........................................................................................
Phần III. Trắc nghiệm trả lời ngắn
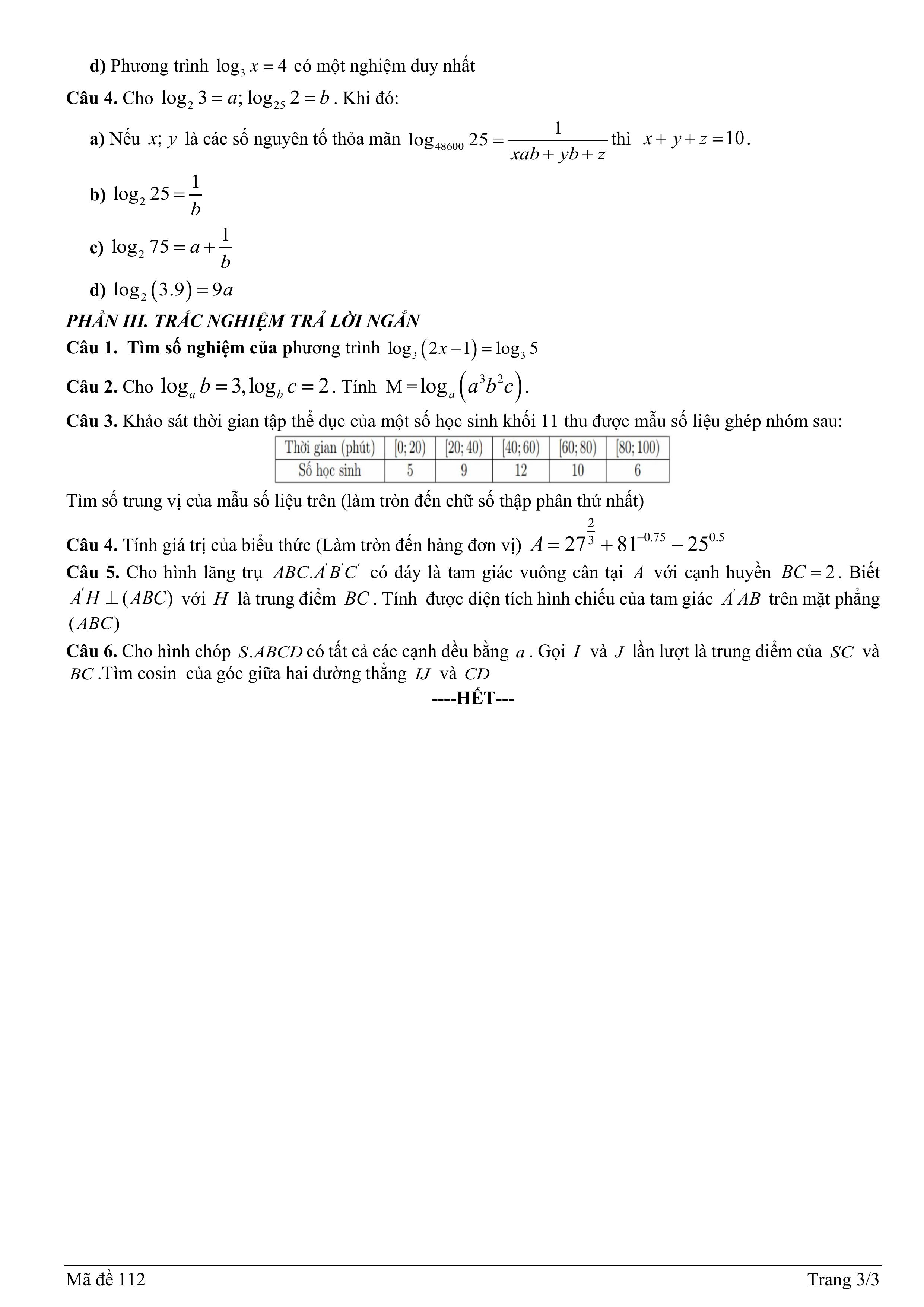
Câu 2. Cho hình chóp S.ABCD có tất cả các cạnh đều bằng a. Gọi I và J lần lượt là trung điểm của SC và BC. Tìm cosin của góc giữa hai đường thẳng IJ và CD
...........................................................................................
B. Nội dung Đề thi giữa học kì 2 Toán 11 trường THPT Nguyễn Chí Thanh (Tây Ninh) năm 2024–2025








C. Chiến lược ôn thi Giữa kì 2 Toán 11 hiệu quả
Qua đề thi Giữa kì 2 Toán 11 trường THPT Nguyễn Chí Thanh (Tây Ninh) năm 2024–2025 trên, các em đã nắm được cấu trúc cũng như các dạng bài tập có trong đề thi. Cùng tham gia ôn luyện các Đề thi Giữa kì 2 Toán 11 theo cấu trúc mới nhất trên khoahoc.vietjack.com để ôn thi Toán 11 Giữa kì 2 đạt kết quả cao.