Đề thi Giữa kì 2 Toán 10 trường THPT Nguyễn Chí Thanh (Tây Ninh) năm 2024–2025
Khoahoc.vietjack.com cập nhật Đề thi Giữa kì 2 Toán 10 trường THPT Nguyễn Chí Thanh, tỉnh Tây Ninh năm 2024 – 2025 sẽ giúp học sinh lớp 10 có thêm tài liệu ôn thi Toán 10 Giữa học kì 2. Mời các bạn đón đọc:
Xem thử Đề Toán 10 GK2 KNTTXem thử Đề Toán 10 GK2 Cánh diều Xem thử Đề Toán 10 GK2 CTST
Chỉ từ 150k mua trọn bộ Đề thi Toán 10 Giữa kì 2 (mỗi bộ sách) theo cấu trúc mới bản word có lời giải chi tiết:
A. Tóm tắt nội dung một số câu trong Đề thi Giữa kì 2 Toán 10
...........................................................................................
...........................................................................................
PHẦN III. CÂU TRẮC NGHIỆM TRẢ LỜI NGẮN.
Câu 4. Một công ty muốn xây dựng hệ thống dây cáp từ trạm A ở trên bờ biển đến một vị trí B trên một hòn đảo. Hòn đảo cách bờ biển 6 km. Gọi C là điểm trên bờ sao cho BC vuông góc với bờ biển. Khoảng cách từ A đến C là 9 km. Người ta cần xác định một vị trí D trên AC để lắp đặt hệ thống dây theo đường gấp khúc ADBC sao cho tổng chi phí thấp nhất là 1170 triệu đồng. Khi đó khoảng cách CD bằng bao nhiêu km, biết rằng giá để lắp đặt mỗi km hệ thống trên bờ là 50 triệu đồng và dưới nước là 130 triệu đồng?
...........................................................................................
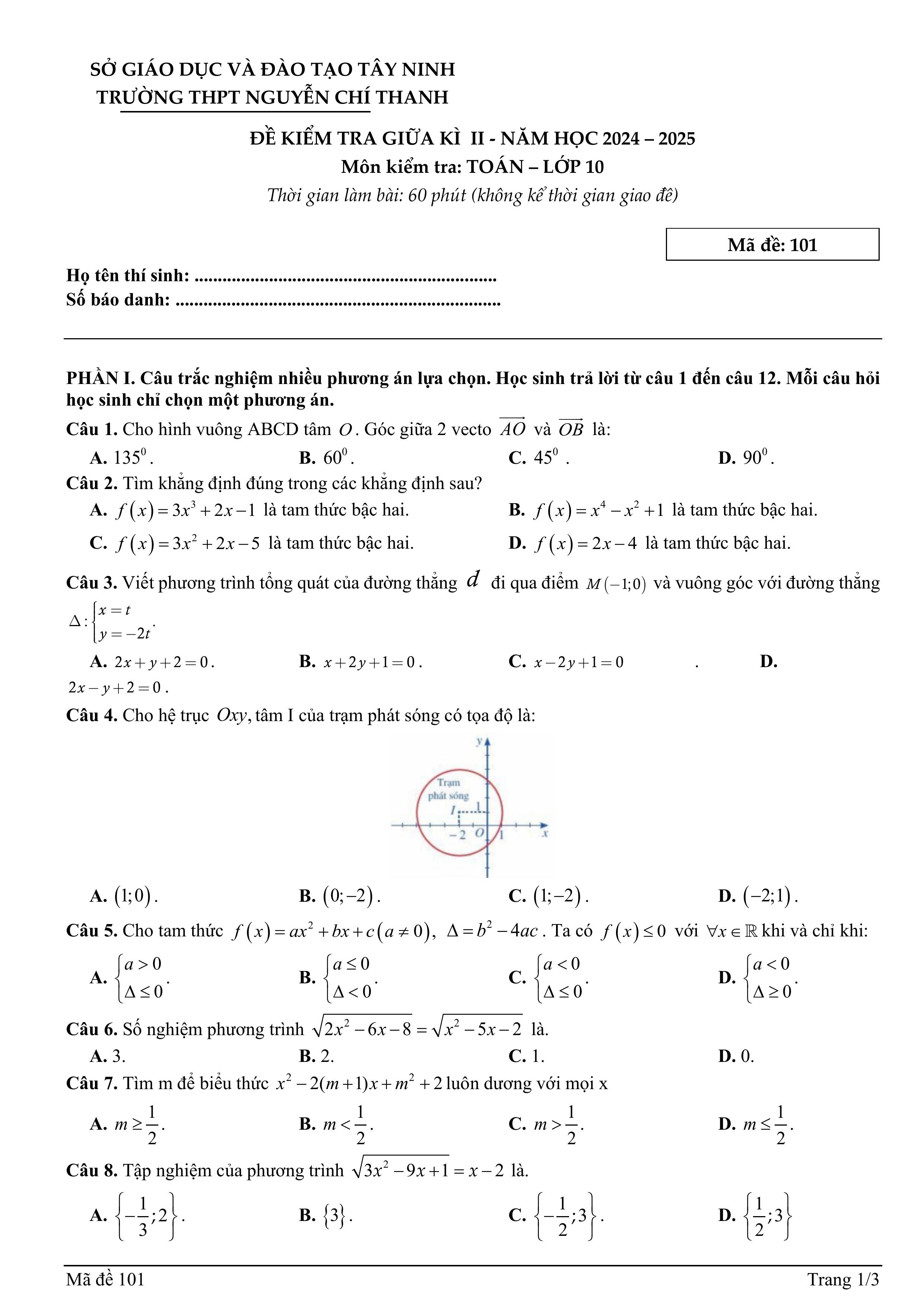
B. Nội dung Đề thi giữa học kì 2 Toán 10 trường THPT Nguyễn Chí Thanh (Tây Ninh) năm 2024–2025








C. Chiến lược ôn thi Giữa kì 2 Toán 10 hiệu quả
Qua đề thi Giữa kì 2 Toán 10 trường THPT Nguyễn Chí Thanh (Tây Ninh) năm 2024–2025 trên, các em đã nắm được cấu trúc cũng như các dạng bài tập có trong đề thi. Cùng tham gia ôn luyện các Đề thi Giữa kì 2 Toán 10 theo cấu trúc mới nhất trên khoahoc.vietjack.com để ôn thi Toán 10 Giữa kì 2 đạt kết quả cao.