Đề thi Giữa kì 2 Toán 10 trường THPT Phan Bội Châu (Bình Thuận) năm 2024–2025
Khoahoc.vietjack.com cập nhật Đề thi Giữa kì 2 Toán 10 trường THPT Phan Bội Châu, tỉnh Bình Thuận năm 2024 – 2025 sẽ giúp học sinh lớp 10 có thêm tài liệu ôn thi Toán 10 Giữa học kì 2. Mời các bạn đón đọc:
Xem thử Đề Toán 10 GK2 KNTTXem thử Đề Toán 10 GK2 Cánh diều Xem thử Đề Toán 10 GK2 CTST
Chỉ từ 150k mua trọn bộ Đề thi Toán 10 Giữa kì 2 (mỗi bộ sách) theo cấu trúc mới bản word có lời giải chi tiết:
A. Tóm tắt nội dung một số câu trong Đề thi Giữa kì 2 Toán 10
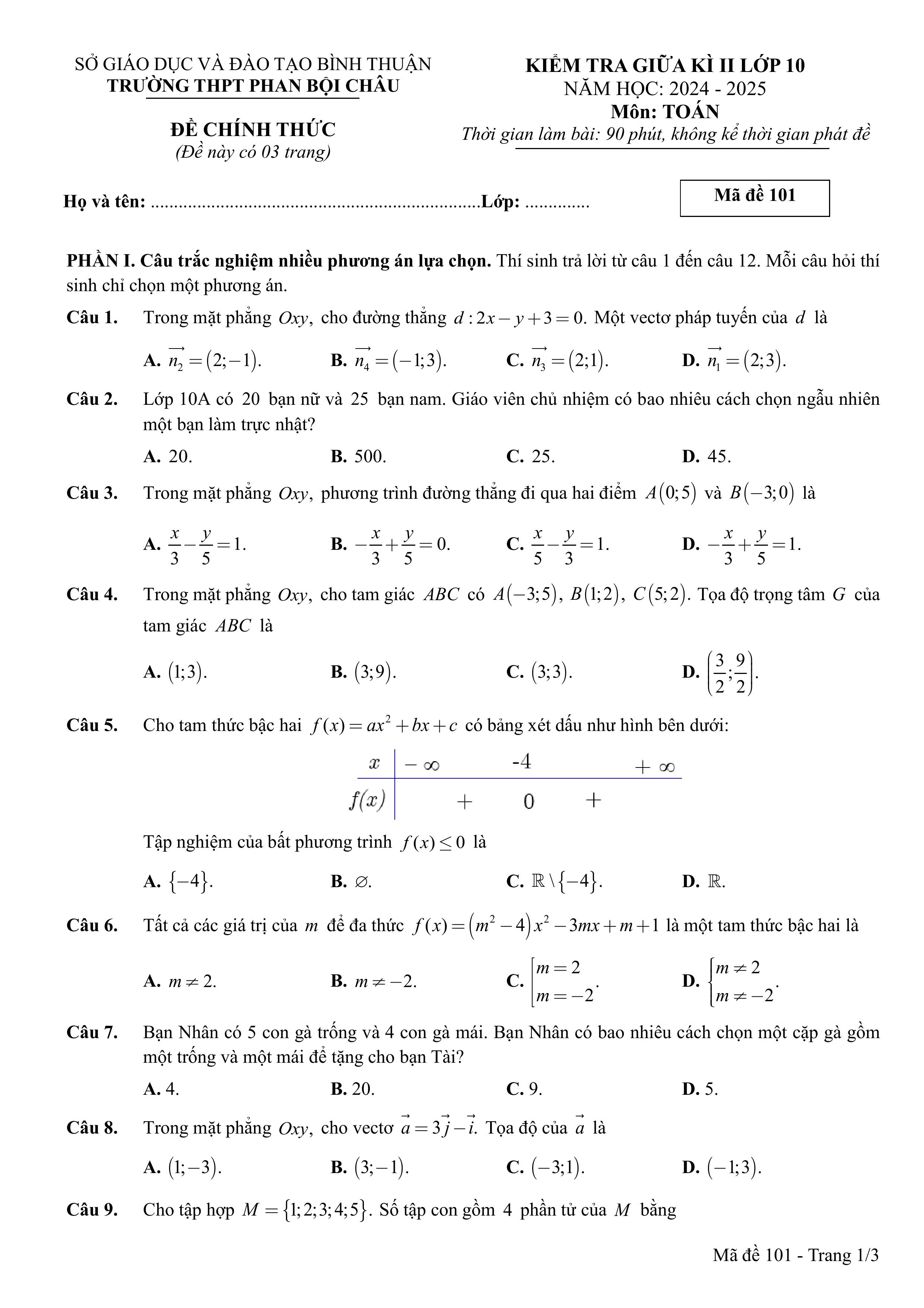
PHẦN I. Câu trắc nghiệm nhiều phương án lựa chọn. Thí sinh trả lời từ câu 1 đến câu 12. Mỗi câu hỏi thí sinh chỉ chọn một phương án.
Câu 2. Lớp 10A có 20 bạn nữ và 25 bạn nam. Giáo viên chủ nhiệm có bao nhiêu cách chọn ngẫu nhiên một bạn làm lớp trưởng?
...........................................................................................
...........................................................................................
PHẦN III. Câu trắc nghiệm trả lời ngắn. Thí sinh trả lời từ câu 1 đến câu 4.
Câu 2. Hai bạn An và Bình cùng học chung Trường trung học phổ thông Phan Bội Châu. Nhà An tại vị trí điểm A(4; −1), trường học của hai bạn tại vị trí điểm C(10;7) cùng trên một con đường thẳng. Mỗi ngày An đi học chạy xe ngang khu vực nhà Bình tại vị trí điểm B(5;1) nằm trên con đường vuông góc với con đường đi đến trường (minh họa như hình bên dưới). Để tiện cho việc An cùng đến trường, Bình đi một đoạn từ nhà ra đường. Bình phải đi một đoạn đường bao nhiêu đơn vị độ dài để đi cùng xe An đến trường? (Biết đơn vị độ dài tính bằng kilômét).
...........................................................................................
PHẦN IV. Câu tự luận. Thí sinh trả lời từ câu 1 đến câu 3.
Câu 2. Tổ 1 của lớp 10A có 5 nam sinh và 3 nữ sinh.
a) Có bao nhiêu cách chọn 3 bạn của tổ 1 đi dự đại hội Đoàn?
b) Có bao nhiêu cách xếp các bạn ở tổ 1 thành một hàng ngang sao cho không có bạn nữ nào đứng cạnh nhau?
...........................................................................................
B. Nội dung Đề thi giữa học kì 2 Toán 10 trường THPT Phan Bội Châu (Bình Thuận) năm 2024–2025









C. Chiến lược ôn thi Giữa kì 2 Toán 10 hiệu quả
Qua đề thi Giữa kì 2 Toán 10 trường THPT Phan Bội Châu (Bình Thuận) năm 2024–2025 trên, các em đã nắm được cấu trúc cũng như các dạng bài tập có trong đề thi. Cùng tham gia ôn luyện các Đề thi Giữa kì 2 Toán 10 theo cấu trúc mới nhất trên khoahoc.vietjack.com để ôn thi Toán 10 Giữa kì 2 đạt kết quả cao.