Đề thi Giữa kì 2 Toán 10 trường THPT Lê Lợi (Kon Tum) năm 2024–2025
Khoahoc.vietjack.com cập nhật Đề thi Giữa kì 2 Toán 10 trường THPT Lê Lợi, tỉnh Kon Tum năm 2024 – 2025 sẽ giúp học sinh lớp 10 có thêm tài liệu ôn thi Toán 10 Giữa học kì 2. Mời các bạn đón đọc:
Xem thử Đề Toán 10 GK2 KNTTXem thử Đề Toán 10 GK2 Cánh diều Xem thử Đề Toán 10 GK2 CTST
Chỉ từ 150k mua trọn bộ Đề thi Toán 10 Giữa kì 2 (mỗi bộ sách) theo cấu trúc mới bản word có lời giải chi tiết:
A. Tóm tắt nội dung một số câu trong Đề thi Giữa kì 2 Toán 10
...........................................................................................
...........................................................................................
...........................................................................................
Phần IV. (3,0 điểm) Tự luận
Câu 3. (1,0 điểm) Đường thẳng Δ trong hình sau đây biểu thị tổng chi phí lắp đặt và tiền cước sử dụng dịch vụ Internet (đơn vị: trăm nghìn đồng) theo thời gian của một gia đình (đơn vị: tháng). Viết phương trình của đường thẳng Δ và tính tổng chi phí lắp đặt và sử dụng dịch vụ Internet trong 12 tháng đầu tiên.

...........................................................................................
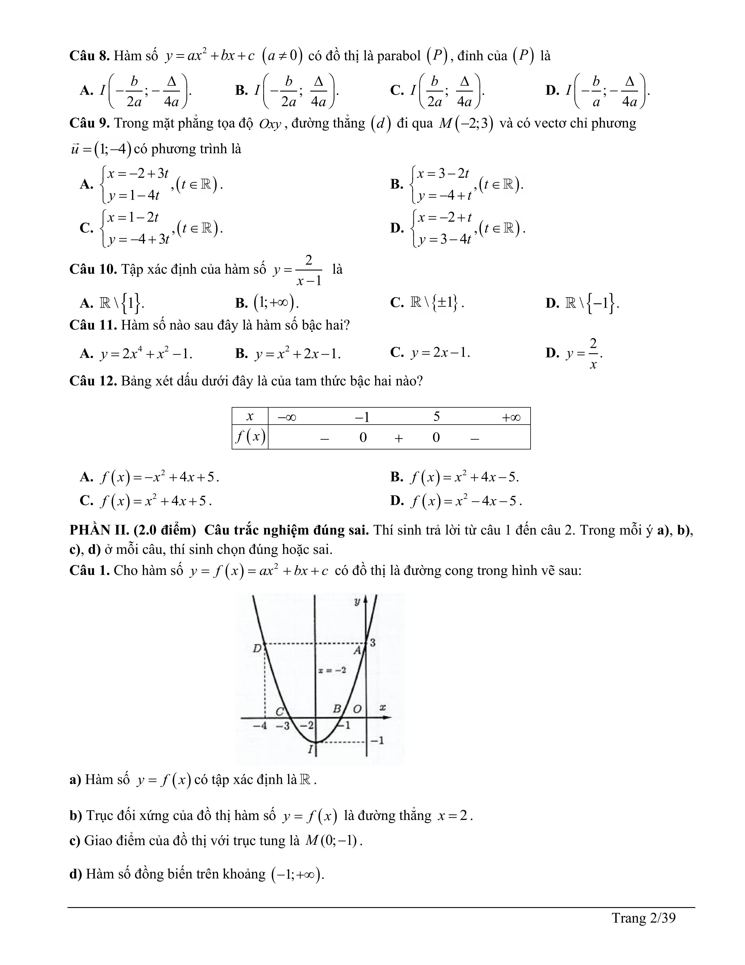
B. Nội dung Đề thi giữa học kì 2 Toán 10 trường THPT Lê Lợi (Kon Tum) năm 2024–2025
















C. Chiến lược ôn thi Giữa kì 2 Toán 10 hiệu quả
Qua đề thi Giữa kì 2 Toán 10 trường THPT Lê Lợi (Kon Tum) năm 2024–2025 trên, các em đã nắm được cấu trúc cũng như các dạng bài tập có trong đề thi. Cùng tham gia ôn luyện các Đề thi Giữa kì 2 Toán 10 theo cấu trúc mới nhất trên khoahoc.vietjack.com để ôn thi Toán 10 Giữa kì 2 đạt kết quả cao.