Đề thi Giữa kì 2 Toán 9 phòng GD&ĐT Lương Tài (Bắc Ninh) năm 2024–2025
Khoahoc.vietjack.com cập nhật Đề thi Giữa kì 2 Toán 9 phòng GD&ĐT Lương Tài, tỉnh Bắc Ninh năm 2024 – 2025 sẽ giúp học sinh lớp 9 có thêm tài liệu ôn thi Toán 9 Giữa học kì 2. Mời các bạn đón đọc:
Xem thử Đề thi GK2 Toán 9 KNTTXem thử Đề thi GK2 Toán 9 CTST Xem thử Đề thi GK2 Toán 9 CD
Chỉ từ 150k mua trọn bộ đề thi Toán 9 Giữa kì 2 bản word có lời giải chi tiết, dễ dàng chỉnh sửa:
B1: gửi phí vào tk: 1133836868 - CT TNHH DAU TU VA DV GD VIETJACK - Ngân hàng MB (QR)
B2: Nhắn tin tới Zalo VietJack Official - nhấn vào đây để thông báo và nhận giáo án
A. Tóm tắt nội dung một số câu trong Đề thi Giữa kì 2 Toán 9
...........................................................................................
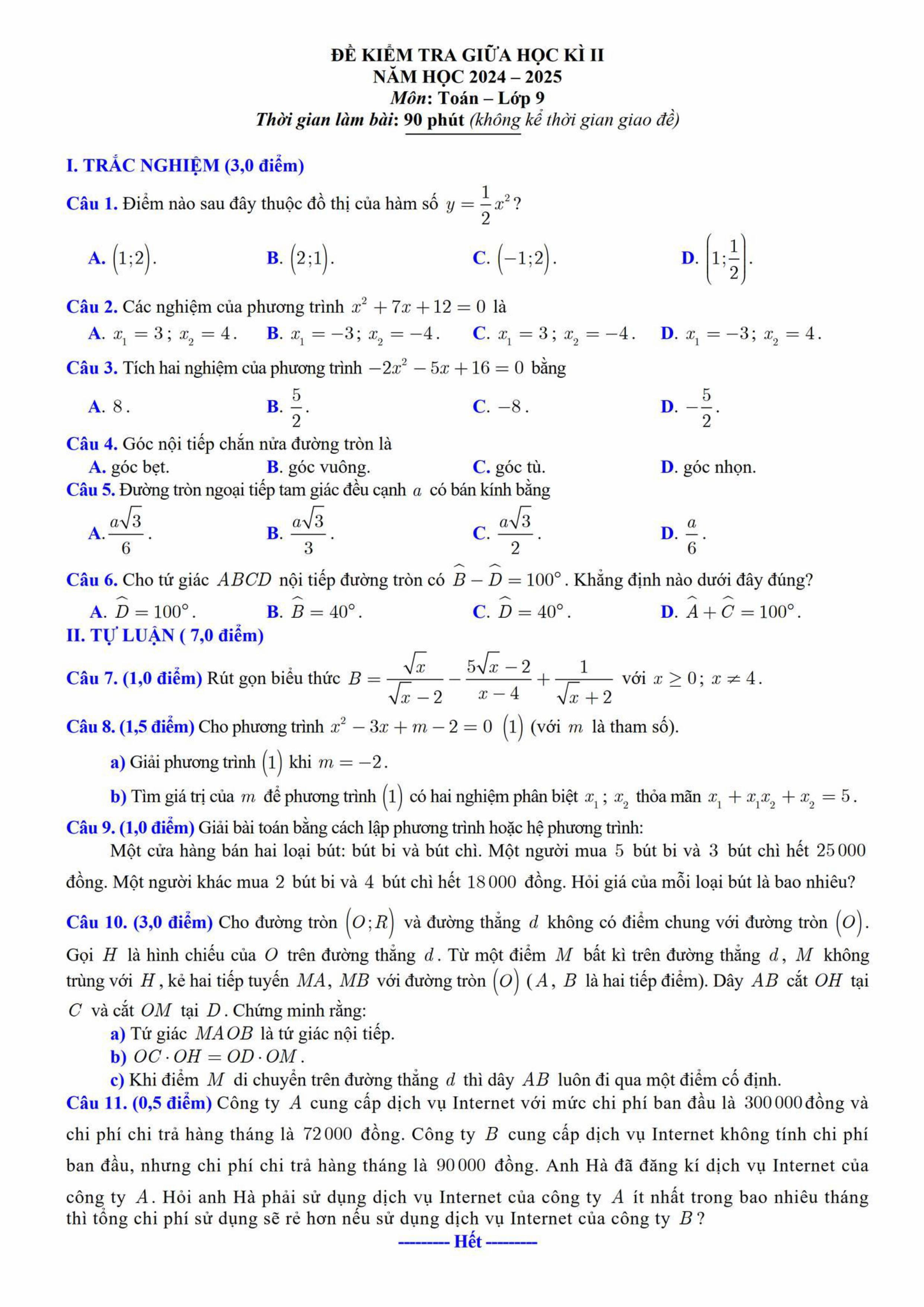
Câu 9. (1,0 điểm) Giải bài toán bằng cách lập phương trình hoặc hệ phương trình:
Một cửa hàng bán hai loại bút bi và bút chì. Một người mua 5 bút bi và 3 bút chì hết 25 000 đồng. Một người khác mua 2 bút bi và 4 bút chì hết 18 000 đồng. Hỏi giá của mỗi loại bút là bao nhiêu?
Câu 10. (3,0 điểm) Cho đường tròn (O;R) và đường thẳng d không có điểm chung với đường tròn (O). Gọi H là hình chiếu của O trên đường thẳng d. Từ một điểm M bất kì trên đường thẳng d, M không trùng với H, kẻ hai tiếp tuyến MA, MB với đường tròn (O) (A, B là hai tiếp điểm). Dây AB cắt OH tại C và cắt OM tại D. Chứng minh rằng:
a) Tứ giác MAOB là tứ giác nội tiếp.
b) OC . OH = OD . OM
c) Khi điểm M di chuyển trên đường thẳng d thì dây AB luôn đi qua một điểm cố định.
Câu 11. (0,5 điểm) Công ty A cung cấp dịch vụ Internet với mức chi phí ban đầu là 300000 đồng và chi phí chi trả hằng tháng là 72 000 đồng. Công ty B cung cấp dịch vụ Internet không tính chi phí ban đầu, nhưng chi phí chi trả hằng tháng là 90 000 đồng. Anh Hà đã đăng kí dịch vụ Internet của công ty A. Hỏi anh Hà phải sử dụng dịch vụ Internet của công ty A ít nhất trong bao nhiêu tháng thì tổng chi phí sử dụng sẽ rẻ hơn nếu sử dụng dịch vụ Internet của công ty B?
...........................................................................................
B. Nội dung Đề thi giữa học kì 2 Toán 9 phòng GD&ĐT Lương Tài (Bắc Ninh) năm 2024–2025




C. Chiến lược ôn thi Giữa kì 2 Toán 9 hiệu quả
Qua đề thi Giữa kì 2 Toán 9 phòng GD&ĐT Lương Tài (Bắc Ninh) năm 2024–2025 trên, các em đã nắm được cấu trúc cũng như các dạng bài tập có trong đề thi. Cùng tham gia ôn luyện các Đề thi Giữa kì 2 Toán 9 theo cấu trúc mới nhất trên khoahoc.vietjack.com để ôn thi Toán 9 Giữa kì 2 đạt kết quả cao.