Đề thi Học kì 2 Toán 12 trường THPT Ngô Gia Tự (Phú Yên) năm 2024–2025
Khoahoc.vietjack.com cập nhật Đề thi Học kì 2 Toán 12 trường THPT Ngô Gia Tự, tỉnh/thành phố Phú Yên năm 2024 – 2025 sẽ giúp học sinh lớp 12 có thêm tài liệu ôn thi Toán 12 Cuối kì 2. Mời các bạn đón đọc:
Xem thử Đề thi CK2 Toán 12 KNTTXem thử Đề thi CK2 Toán 12 CTST Xem thử Đề thi CK2 Toán 12 CD
Chỉ từ 150k mua trọn bộ đề thi Toán 12 Học kì 2 theo cấu trúc mới bản word có lời giải chi tiết, dễ dàng chỉnh sửa:
A. Tóm tắt nội dung một số câu trong Đề thi Học kì 2 Toán 12
...........................................................................................
Câu 3. Một lớp học có 40 học sinh gồm 28 nữ và 12 nam. Trong năm học 2023-2024, có 7 học sinh nữ đạt danh hiệu học sinh giỏi và 6 học sinh nam đạt danh hiệu học sinh giỏi. Chọn ngẫu nhiên một học sinh của lớp đó. Gọi A là biến cố “Học sinh được chọn là nữ” và B là biến cố “Học sinh được chọn đạt danh hiệu học sinh giỏi”.
a) Xác suất của biến cố A là 0,7 .
b) Xác suất của biến cố B là 0,3.
c) A và B là hai biến cố độc lập.
d) Xác suất của biến cố A với điều kiện biến cố B đã xảy ra là 0,25.
...........................................................................................
Câu 3. Một chiếc ô tô đang chạy với vận tốc 15 m/s thì nhìn thấy chướng ngại vật trên đường cách đó 40m, người lái xe hãm phanh khẩn cấp. Sau khi hãm phanh, ô tô chuyển động chậm dần đều với vận tốc v(t) = -3t + 15 (m/s), trong đó t (giây) là thời gian. Tính quãng đường xe ô tô đi được trong thời gian t (giây) kể từ lúc đạp phanh.
Câu 6. Có hai hộp chứa bi. Hộp thứ nhất chứa 4 bi đỏ và 5 bi vàng. Hộp thứ hai chứa 6 bi đỏ và 4 bi vàng. Chọn ngẫu nhiên một hộp và sau đó lấy ngẫu nhiên 1 bi từ hộp đó. Tính xác suất để lấy được viên bi đỏ (làm tròn đến hàng phần trăm).
...........................................................................................
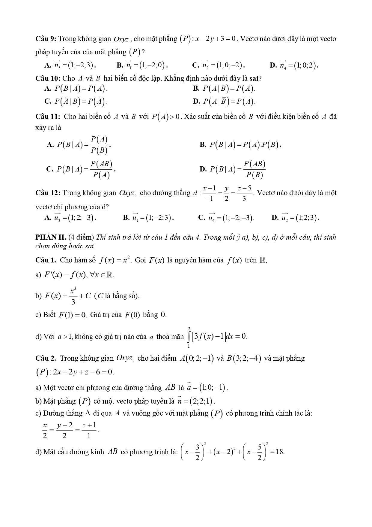
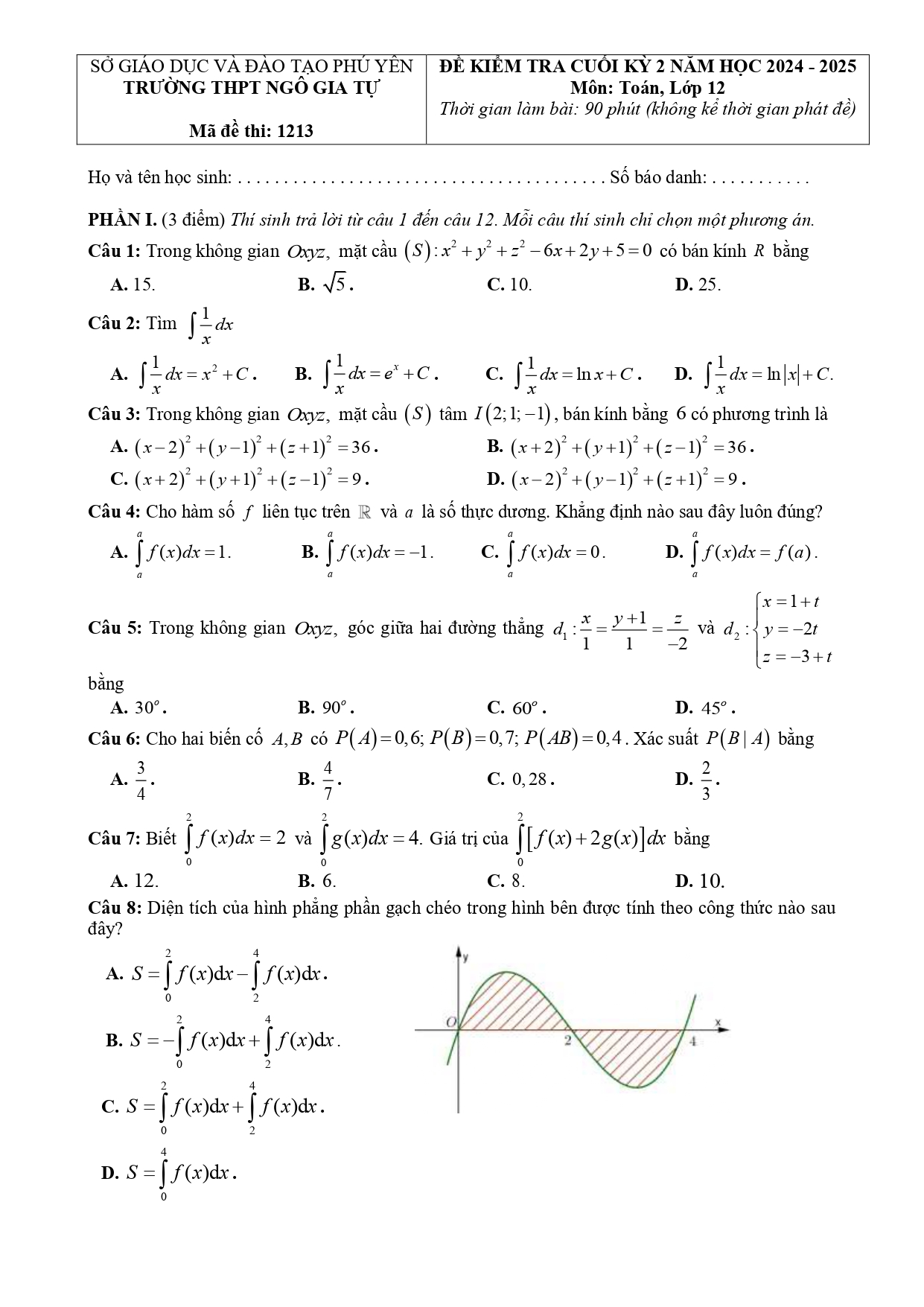
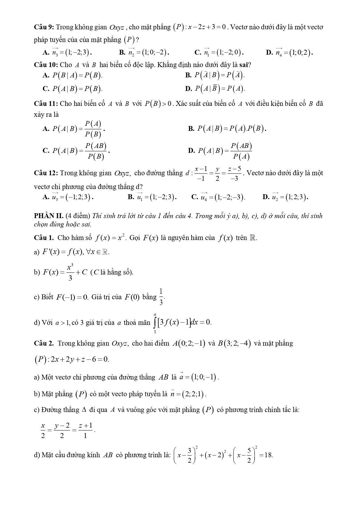
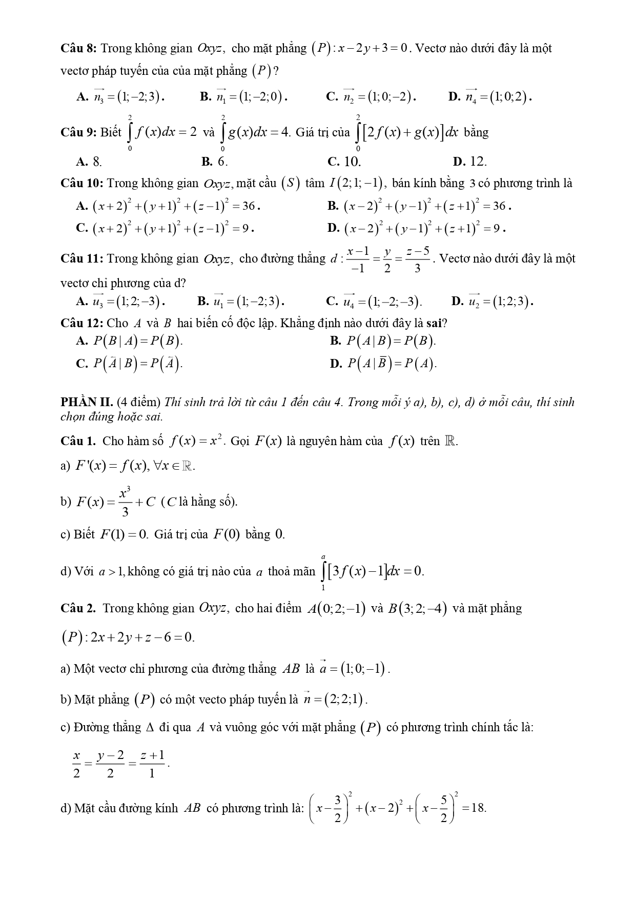
B. Nội dung Đề thi học kì 2 Toán 12 trường THPT Ngô Gia Tự (Phú Yên) năm 2024–2025





















