Đề thi Học kì 2 Toán 12 trường chuyên Lương Văn Chánh (Phú Yên) năm 2024–2025
Khoahoc.vietjack.com cập nhật Đề thi Học kì 2 Toán 12 trường chuyên Lương Văn Chánh, tỉnh/thành phố Phú Yên năm 2024 – 2025 sẽ giúp học sinh lớp 12 có thêm tài liệu ôn thi Toán 12 Cuối kì 2. Mời các bạn đón đọc:
Xem thử Đề thi CK2 Toán 12 KNTTXem thử Đề thi CK2 Toán 12 CTST Xem thử Đề thi CK2 Toán 12 CD
Chỉ từ 150k mua trọn bộ đề thi Toán 12 Học kì 2 theo cấu trúc mới bản word có lời giải chi tiết, dễ dàng chỉnh sửa:
A. Tóm tắt nội dung một số câu trong Đề thi Học kì 2 Toán 12
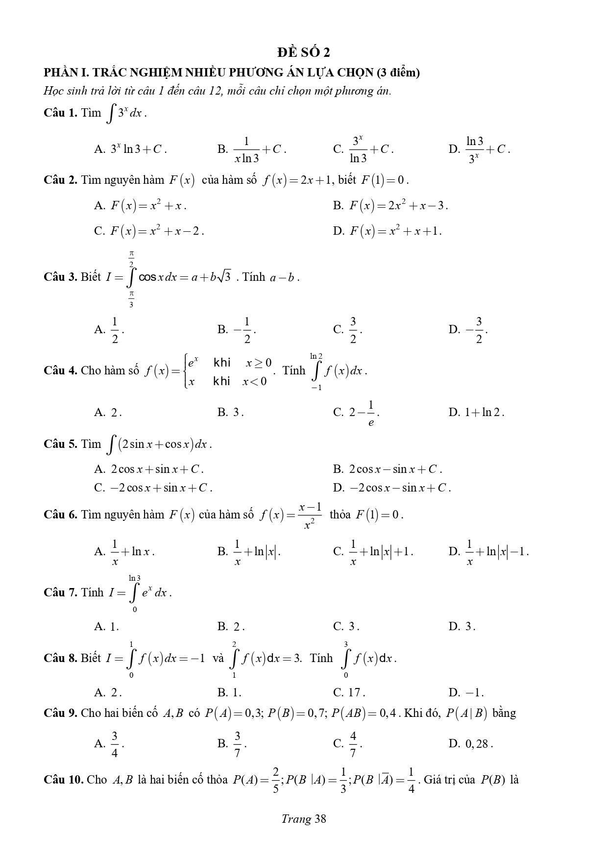
Học sinh trả lời từ câu 1 đến câu 12, mỗi câu chỉ chọn một phương án.
...........................................................................................
Học sinh trả lời từ câu 1 đến câu 4, trong mỗi ý a), b), c), d) ở mỗi câu, học sinh chọn ĐÚNG hoặc SAI.
...........................................................................................
Câu 2. Cho hàm số y = f(x). Đồ thị hàm số y = f'(x) là đường cong trong hình dưới. Biết rằng diện tích của các phần hình phẳng A và B lần lượt là SA = 5 và SB = 13. Tính giá trị của f (3), biết giá trị của f(0) = 3.
Câu 4. Trong một cộng đồng X có tỉ lệ mắc ung thư là 0,02. Biết rằng xác suất xét nghiệm dương tính là 0,95 nếu người đó mắc ung thư và 0,03 nếu người đó không mắc ung thư. Tính xác suất khi chọn ngẫu nhiên một người trong cộng đồng X bị ung thư nếu người này cho kết quả xét nghiệm dương tính. (Kết quả tính biểu diễn duới dạng phần trăm, làm tròn đến chũ số hàng chục sau dấu thập phân)
Câu 5. Một trường trung học phổ thông có 500 học sinh, trong đó có 201 học sinh nam và 299 học sinh nữ. Tổng kết học kỳ I, có 160 học sinh đạt danh hiệu học sinh giỏí, trong đó có 72 học sinh nam và 88 học sinh nữ. Chọn ra ngẫu nhiên một học sinh trong số 500 học sinh đó. Tính xác suất để học sinh được chọn có danh hiệu học sinh giỏi và là nam (làm tròn kết quả đến hàng phần trăm).
...........................................................................................
B. Nội dung Đề thi học kì 2 Toán 12 trường chuyên Lương Văn Chánh (Phú Yên) năm 2024–2025


















