Đề thi thử Toán vào lớp 10 (chuyên) năm 2026-2027 trường chuyên Lam Sơn (Thanh Hóa)
Khoahoc.vietjack.com cập nhật Đề thi thử Toán vào lớp 10 (chuyên) năm 2026-2027 trường chuyên Lam Sơn, tỉnh Thanh Hóa sẽ giúp học sinh có thêm tài liệu ôn thi vào 10 môn Toán. Mời các bạn đón đọc:
A. Tóm tắt nội dung một số câu trong Đề thi thử Toán vào lớp 10
Câu III: (1 điểm) Ông A thuê thợ làm một mảnh vườn như hình vẽ bên. Trong đó, cả 4 hình tròn đều có bán kính bằng nhau và bằng 5 mét, cung tròn của đường tròn này nằm phía trong đường tròn kia đều có số đo bằng 900 . Trên mảnh vườn đó, 4 phần giao nhau của các cặp hình tròn được trồng hoa với giá tiền 50.000 đồng một mét vuông, 4 phần còn lại nằm phía trong các đường tròn được trồng cỏ với giá tiền 30.000 đồng một mét vuông. Toàn bộ chu vi các đường tròn và 4 đoạn thẳng nối bên ngoài được làm rào trang trí với giá tiền 20.000 đồng một mét chạy dài. Tính số tiền mà ông A phải trả cho thợ làm mảnh vườn đó (làm tròn đến hàng nghìn đồng).

Câu VI: (1 điểm) Một bảng vuông gồm 11 x 11 ô vuông nhỏ, mỗi ô vuông nhỏ chứa nhiều nhất một viên sỏi. Tìm số viên sỏi bé nhất trên bảng sao cho khi ta chọn một ô trống bất kì, tổng số các viên sỏi trong hàng và cột tương ứng với ô trống này ít nhất là 11.
...........................................................................................
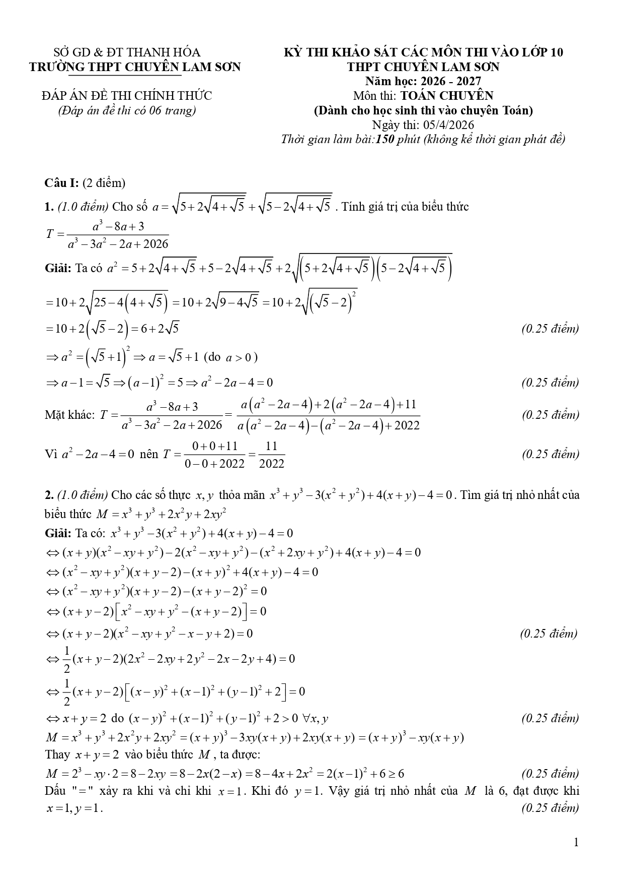
B. Nội dung Đề thi thử Toán vào lớp 10 (chuyên) năm 2026 - 2027 trường chuyên Lam Sơn (Thanh Hóa)







C. Chiến lược ôn thi vào 10 môn Toán hiệu quả
Qua đề thi thử Toán vào lớp 10 (chuyên) năm 2026-2027 trường chuyên Lam Sơn (Thanh Hóa) trên, các em đã nắm được cấu trúc cũng như các dạng bài tập có trong đề thi. Cùng tham gia ôn luyện các Đề thi thử Toán vào lớp 10 mới nhất trên khoahoc.vietjack.com để ôn thi Toán đạt kết quả cao.
TÀI LIỆU LIÊN QUAN
Mở khóa kho tài liệu VIP cực lớn!
Không giới hạn lượt tải, xem tài liệu độc quyền từ các giáo viên hàng đầu.
Nâng cấp ngay