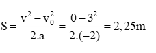
Dữ liệu cho Câu 60 - 61: Một vật chuyển động thẳng chậm dần đều với tốc độ ban đầu 3 m/s và gia tốc có độ lớn 2 m/s2. Biết thời điểm ban đầu vật ở gốc tọa độ và chuyển động theo chiều dương của trục tọa độ.
Dữ liệu cho Câu 60 - 61: Một vật chuyển động thẳng chậm dần đều với tốc độ ban đầu 3 m/s và gia tốc có độ lớn 2 m/s2. Biết thời điểm ban đầu vật ở gốc tọa độ và chuyển động theo chiều dương của trục tọa độ.
Quãng đường vật đi được cho đến khi dừng lại?
Quảng cáo
Trả lời:

Câu hỏi cùng đoạn
Hot: 1000+ Đề thi cuối kì 1 file word cấu trúc mới 2025 Toán, Văn, Anh... lớp 1-12 (chỉ từ 60k). Tải ngay
- Sách - Sổ tay kiến thức trọng tâm Vật lí 10 VietJack - Sách 2025 theo chương trình mới cho 2k9 ( 31.000₫ )
- Trọng tâm Lí, Hóa, Sinh 10 cho cả 3 bộ KNTT, CTST và CD VietJack - Sách 2025 ( 40.000₫ )
- Sách lớp 10 - Combo Trọng tâm Toán, Văn, Anh và Lí, Hóa, Sinh cho cả 3 bộ KNTT, CD, CTST VietJack ( 75.000₫ )
- Sách lớp 11 - Trọng tâm Toán, Lý, Hóa, Sử, Địa lớp 11 3 bộ sách KNTT, CTST, CD VietJack ( 52.000₫ )
CÂU HỎI HOT CÙNG CHỦ ĐỀ
Lời giải
Đáp án đúng: D
\({v_0} = 60km/h = \frac{{50}}{3}m/s\); \({v_1} = 15km/h = \frac{{25}}{6}m/s\); v2=0
\(v_1^2 - v_0^2 = 2a.{S_1} \Rightarrow a = \frac{{{{(\frac{{25}}{6})}^2} - {{(\frac{{50}}{3})}^2}}}{{2.450}} = - \frac{{125}}{{432}}m/{s^2}\)
\(v_{^2}^2 - v_1^2 = 2a.{S_2} \Rightarrow {S_2} = \frac{{{0^2} - {{(\frac{{25}}{6})}^2}}}{{2.( - \frac{{125}}{{432}})}} = 30m\)
Lời giải

a) Khoảng thời gian từ 0 đến 2 s, chất điểm chuyển động nhanh dần đều.
b) Khoảng thời gian từ 7 đến 8 s, chất điểm chuyển động chậm dần đều.
c) Khoảng thời gian từ 0 đến 2 s, chất điểm chuyển động với gia tốc 2,5 m/s2.
d) Quãng đường mà chất điểm đi được từ khi bắt đầu chuyển động cho tới khi dừng lại là 32,5 m.
\(S = {\frac{{{5^2} - 0}}{{2.2,5}}^2} + vt + {\frac{{{0^2} - 5}}{{2.( - 5)}}^2} = 5 + 5.5 + 2,5 = 32,5m\)
Lời giải
Bạn cần đăng ký gói VIP ( giá chỉ từ 199K ) để làm bài, xem đáp án và lời giải chi tiết không giới hạn.
Lời giải
Bạn cần đăng ký gói VIP ( giá chỉ từ 199K ) để làm bài, xem đáp án và lời giải chi tiết không giới hạn.
Câu 5
100 m.
50 m.
25 m.
200 m.
Lời giải
Bạn cần đăng ký gói VIP ( giá chỉ từ 199K ) để làm bài, xem đáp án và lời giải chi tiết không giới hạn.
Lời giải
Bạn cần đăng ký gói VIP ( giá chỉ từ 199K ) để làm bài, xem đáp án và lời giải chi tiết không giới hạn.
Câu 7
3 m/s
4 m/s.
5 m/s.
6 m/s.
Lời giải
Bạn cần đăng ký gói VIP ( giá chỉ từ 199K ) để làm bài, xem đáp án và lời giải chi tiết không giới hạn.




