PHẦN II. Câu trắc nghiệm đúng sai. Thí sinh trả lời từ câu 1 đến câu 4. Trong mỗi ý a), b), c), d) ở mỗi câu, thí sinh chọn đúng hoặc sai.
Cho hàm số \(y = f(x)\)có đạo hàm \({y^/} = {f^/}(x) = x{(x - 2)^3},\forall x \in R\). Các mệnh đề sau đúng hay sai?
a) Hàm số \(y = f(x)\) nghịch biến trên khoảng \(( - \infty ;\,1)\).
b) \(f(2024) > f(2025)\).
c) Hàm số \(y = f(x)\) có 2 điểm cực trị.
d) Giá trị nhỏ nhất trên khoảng \[(0; + \infty )\] là \[f(2)\].
PHẦN II. Câu trắc nghiệm đúng sai. Thí sinh trả lời từ câu 1 đến câu 4. Trong mỗi ý a), b), c), d) ở mỗi câu, thí sinh chọn đúng hoặc sai.
Cho hàm số \(y = f(x)\)có đạo hàm \({y^/} = {f^/}(x) = x{(x - 2)^3},\forall x \in R\). Các mệnh đề sau đúng hay sai?
a) Hàm số \(y = f(x)\) nghịch biến trên khoảng \(( - \infty ;\,1)\).
b) \(f(2024) > f(2025)\).
c) Hàm số \(y = f(x)\) có 2 điểm cực trị.
d) Giá trị nhỏ nhất trên khoảng \[(0; + \infty )\] là \[f(2)\].
Câu hỏi trong đề: Bộ 20 đề thi Giữa kì 1 Toán 12 có đáp án !!
Quảng cáo
Trả lời:
|
a) |
S |
b) |
S |
c) |
Đ |
d) |
Đ |
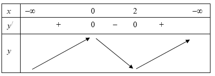
Ta có: \({f^/}(x) = x{(x - 2)^3} = 0 \Leftrightarrow \left[ \begin{array}{l}x = 0\\x = 2\end{array} \right.\)
Bảng biến thiên:

Đúng
Từ BBT suy ra hàm số có 2 điểm cực trị.Đúng
Từ BBT suy ra hàm số có Giá trị nhỏ nhất trên khoảng \[(0; + \infty )\] là \[f(2)\].Sai
Từ BBT ta thấy hàm số đồng biến trên khoảng \[(2; + \infty )\] nên \[f(2024) < f(2025)\].
Hot: 1000+ Đề thi cuối kì 1 file word cấu trúc mới 2025 Toán, Văn, Anh... lớp 1-12 (chỉ từ 60k). Tải ngay
- 500 Bài tập tổng ôn môn Toán (Form 2025) ( 38.500₫ )
- 250+ Công thức giải nhanh môn Toán 12 (chương trình mới) ( 18.000₫ )
- Sổ tay lớp 12 các môn Toán, Lí, Hóa, Văn, Sử, Địa, KTPL (chương trình mới) ( 36.000₫ )
- Bộ đề thi tốt nghiệp 2025 các môn Toán, Lí, Hóa, Văn, Anh, Sinh, Sử, Địa, KTPL (có đáp án chi tiết) ( 36.000₫ )
CÂU HỎI HOT CÙNG CHỦ ĐỀ
Lời giải
Đặt \(\widehat {QPR} = \varphi \left( {rad} \right)\), \(\,\,\varphi \in \left( {0\,;\,\,\frac{\pi }{2}} \right)\).

Ta có \(\Delta PQR\) vuông tại \(Q\) \( \Rightarrow PQ = PR.\cos \varphi = 4\cos \varphi \).
Mà \(\widehat {QOR} = 2\widehat {QPR} = 2\varphi \).
Độ dài cung tròn \(QR = 2.2\varphi = 4\varphi \).
Thời gian anh Tài chèo từ \(P\) đến \(Q\) là: \(\frac{{4\cos \varphi }}{3}\) (giờ).
Thời gian anh Tài chèo từ \(Q\) đến \(R\) là: \(\frac{{4\varphi }}{6} = \frac{{2\varphi }}{3}\) (giờ).
Tổng thời gian anh Tài di chuyển từ \(P\) đến \(R\) là: \(t = \frac{{4\cos \varphi }}{3} + \frac{{2\varphi }}{3}\,\,\left( {0 < \varphi < \frac{\pi }{2}} \right)\).
Xét hàm số \(t\left( \varphi \right) = \frac{{4\cos \varphi }}{3} + \frac{{2\varphi }}{3}\) với \(\,\,\varphi \in \left( {0\,;\,\,\frac{\pi }{2}} \right)\).
\(t'\left( \varphi \right) = \frac{1}{3}\left( { - 4\sin \varphi + 2} \right)\), \(\,\,\varphi \in \left( {0\,;\,\,\frac{\pi }{2}} \right)\).
\(t'\left( \varphi \right) = 0,\,\,\varphi \in \left( {0\,;\,\,\frac{\pi }{2}} \right)\)
\( \Leftrightarrow \sin \varphi = \frac{1}{2},\,\,\varphi \in \left( {0\,;\,\,\frac{\pi }{2}} \right)\)
\( \Leftrightarrow \varphi = \frac{\pi }{6}\).
Bảng biến thiên

Vậy thời gian chậm nhất mà anh Tài di chuyển từ \(P\) đến \(R\)là \(t\left( {\frac{\pi }{6}} \right) = \frac{{2\sqrt 3 }}{3} + \frac{\pi }{9} \approx 1,5\)(giờ) hay 90 phút.
Lời giải

Dựng hệ trục \(Oxyz\) như hình vẽ
Khi đó tọa độ các điểm là \(B\left( {0;\,0;\,0} \right)\), \(C\left( {8;\,0;\,0} \right)\), \(D\left( {8;\,6;\,0} \right)\), \(A\left( {0;\,6;\,0} \right)\), \(G\left( {8;\,0;\,10} \right)\), \(F\left( {0;\,0;\,10} \right)\).
Ta có: \(M\) là trung điểm của \(AF\)\( \Rightarrow M\left( {0;\,3;\,5} \right)\).
Con cá bơi từ điểm \(G\) đến chạm mặt đáy hồ tại điểm \(I\left( {x;\,y;\,0} \right) \in \left( {Oxy} \right)\) với \(0 \le x \le 8\), \(0 \le y \le 6\).
Gọi \(N\) là điểm đối xứng của điểm \(M\) qua \(\left( {Oxy} \right)\) \( \Rightarrow N\left( {0;\,3;\, - 5} \right)\).
Quãng đường di chuyển của con cá là \(G - I - M\)
Ta có: \(IM + IG = IN + IG \ge GN\)\( = \sqrt {{{\left( {0 - 8} \right)}^2} + {{\left( {3 - 0} \right)}^2} + {{\left( { - 5 - 10} \right)}^2}} = \sqrt {298} \).
Để \(IM + IG\) nhỏ nhất thì ba điểm \(I\), \(G\), \(N\) thẳng hàng
Suy ra \(\overrightarrow {IG} \), \(\overrightarrow {NG} \) cùng phương.
\(\overrightarrow {IG} = \left( {8 - x;\, - y;\,10} \right)\).
\(\overrightarrow {NG} = \left( {8;\, - 3;\,15} \right)\).
Do đó \(\frac{{8 - x}}{8} = \frac{{ - y}}{{ - 3}} = \frac{{10}}{{15}}\).
Suy ra \(x = \frac{8}{3}\), \(y = 2\)\( \Rightarrow I\left( {\frac{8}{3};\,2;\,0} \right)\).
Khi đó, \(a = d\left( {I,BA} \right) = \frac{8}{3}\), \(b = d\left( {I,BC} \right) = 2\).
Vậy \(D = 3a + 6b = 3 \cdot \frac{8}{3} + 6 \cdot 2 = 20\).
Lời giải
Bạn cần đăng ký gói VIP ( giá chỉ từ 199K ) để làm bài, xem đáp án và lời giải chi tiết không giới hạn.
Lời giải
Bạn cần đăng ký gói VIP ( giá chỉ từ 199K ) để làm bài, xem đáp án và lời giải chi tiết không giới hạn.
Lời giải
Bạn cần đăng ký gói VIP ( giá chỉ từ 199K ) để làm bài, xem đáp án và lời giải chi tiết không giới hạn.
Lời giải
Bạn cần đăng ký gói VIP ( giá chỉ từ 199K ) để làm bài, xem đáp án và lời giải chi tiết không giới hạn.
Lời giải
Bạn cần đăng ký gói VIP ( giá chỉ từ 199K ) để làm bài, xem đáp án và lời giải chi tiết không giới hạn.






