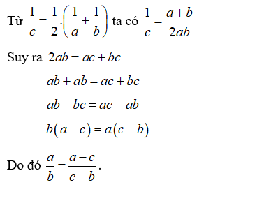
(0,5 điểm) Cho ba số \(a,b,c\) khác \(0\) và \(b \ne c\) thỏa mãn \(\frac{1}{c} = \frac{1}{2}.\left( {\frac{1}{a} + \frac{1}{b}} \right)\). Chứng minh rằng \(\frac{a}{b} = \frac{{a - c}}{{c - b}}\).
(0,5 điểm) Cho ba số \(a,b,c\) khác \(0\) và \(b \ne c\) thỏa mãn \(\frac{1}{c} = \frac{1}{2}.\left( {\frac{1}{a} + \frac{1}{b}} \right)\). Chứng minh rằng \(\frac{a}{b} = \frac{{a - c}}{{c - b}}\).
Câu hỏi trong đề: Bộ 10 đề thi cuối kì 1 Toán 7 Cánh diều có đáp án !!
Quảng cáo
Trả lời:

Hot: 1000+ Đề thi giữa kì 2 file word cấu trúc mới 2026 Toán, Văn, Anh... lớp 1-12 (chỉ từ 60k). Tải ngay
- Trọng tâm Văn, Sử, Địa, GDCD lớp 7 (chương trình mới) ( 60.000₫ )
- Trọng tâm Toán, Anh, KHTN lớp 7 (chương trình mới) ( 60.000₫ )
- Trọng tâm Văn - Sử - Địa - GDCD và Toán - Anh - KHTN lớp 7 (chương trình mới) ( 120.000₫ )
- Trọng tâm Toán - Văn - Anh, Toán - Anh - KHTN lớp 6 (chương trình mới) ( 126.000₫ )
CÂU HỎI HOT CÙNG CHỦ ĐỀ
Lời giải
a) Diện tích đáy là
Thể tích của lều .
b) Diện tích vải cần phải có để dựng lều là: .
Lời giải
Bạn cần đăng ký gói VIP ( giá chỉ từ 199K ) để làm bài, xem đáp án và lời giải chi tiết không giới hạn.
Câu 4
Lời giải
Bạn cần đăng ký gói VIP ( giá chỉ từ 199K ) để làm bài, xem đáp án và lời giải chi tiết không giới hạn.
Câu 5
Lời giải
Bạn cần đăng ký gói VIP ( giá chỉ từ 199K ) để làm bài, xem đáp án và lời giải chi tiết không giới hạn.
Lời giải
Bạn cần đăng ký gói VIP ( giá chỉ từ 199K ) để làm bài, xem đáp án và lời giải chi tiết không giới hạn.





