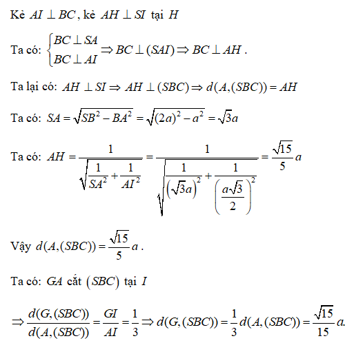
Cho hình chóp \(S.ABC\) có đáy là tam giác đều cạnh a, \(SA \bot (ABC)\) và \(SB = 2a\). Gọi \(G\) là trọng tâm tam giác \(ABC\). Tính khoảng cách từ \(G\) đến mặt phẳng \((SBC)\).
Quảng cáo
Trả lời:
Trả lời: \(\frac{{\sqrt {15} }}{{15}}a\)

Hot: 1000+ Đề thi cuối kì 2 file word cấu trúc mới 2026 Toán, Văn, Anh... lớp 1-12 (chỉ từ 60k). Tải ngay
CÂU HỎI HOT CÙNG CHỦ ĐỀ
Câu 1
A. \({45^{\rm{o}}}\).
Lời giải

Dễ thấy \[CB \bot \left( {SAB} \right)\] là hình chiếu vuông góc của \[SC\] lên \[\left( {SAB} \right)\].
Vậy góc giữa đường thẳng \[SC\] và mặt phẳng \[\left( {SAB} \right)\] là \[\widehat {CSB}\].
Tam giác \[CSB\]có \[ \Rightarrow SB\].
Vậy \[\widehat {CSB}\]\( = 30^\circ \).
Lời giải
Trả lời: 0,65
Lời giải
Xác suất để hai bạn cùng trượt môn Toán là 0,15 ;
Xác suất hai bạn cùng trượt môn Ngữ văn là 0,5 ;
Xác suất để hai bạn cùng trượt 1 môn là: \(0,15 + 0,5 = 0,65\).
Câu 3
a) Xác suất để An ném trước mà vào rổ là \(\frac{{25}}{{30}}\).
b) Xác suất để An ném sau mà vào rổ là \(\frac{{22}}{{30}}\).
c) Xác suất để An ném vào rổ là \(\frac{{47}}{{120}}\).
Lời giải
Bạn cần đăng ký gói VIP ( giá chỉ từ 250K ) để làm bài, xem đáp án và lời giải chi tiết không giới hạn.
Câu 4
a) \({a^2} - 2b < 30\).
Lời giải
Bạn cần đăng ký gói VIP ( giá chỉ từ 250K ) để làm bài, xem đáp án và lời giải chi tiết không giới hạn.
Lời giải
Bạn cần đăng ký gói VIP ( giá chỉ từ 250K ) để làm bài, xem đáp án và lời giải chi tiết không giới hạn.
Câu 6
A. \[\sqrt {10} \].
Lời giải
Bạn cần đăng ký gói VIP ( giá chỉ từ 250K ) để làm bài, xem đáp án và lời giải chi tiết không giới hạn.
