Cho bất phương trình \(x + 8y - 200 \ge 0\).
a) Chỉ ra một cặp số \(\left( {a;b} \right)\) là nghiệm của bất phương trình trên.
b) Chỉ ra một cặp số \(\left( {c;d} \right)\) không là nghiệm của bất phương trình trên.
c) Biểu diễn miền nghiệm của bất phương trình trên.
Cho bất phương trình \(x + 8y - 200 \ge 0\).
a) Chỉ ra một cặp số \(\left( {a;b} \right)\) là nghiệm của bất phương trình trên.
b) Chỉ ra một cặp số \(\left( {c;d} \right)\) không là nghiệm của bất phương trình trên.
c) Biểu diễn miền nghiệm của bất phương trình trên.
Câu hỏi trong đề: Bài tập ôn tập Toán 10 Cánh diều Chương 2 có đáp án !!
Quảng cáo
Trả lời:
a) Cặp số \(\left( {30;50} \right)\) là nghiệm của bất phương trình trên vì \(30 + 8 \cdot 50 - 200 \ge 0\) (đúng).
b) Cặp số \(\left( {0;0} \right)\)không là nghiệm của bất phương trình trên vì \(0 + 8 \cdot 0 - 200 \ge 0\) (vô lí).
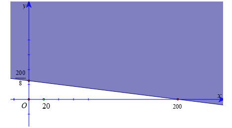
c) Vẽ đường thẳng \(x + 8y - 200 = 0\).
Miền nghiệm của bất phương trình là nửa mặt phẳng không chứa điểm \(\left( {0;0} \right)\) bờ là đường thẳng \(x + 8y - 200 = 0\) (kể cả đường thẳng \(x + 8y - 200 = 0\)) (phần tô màu).

Hot: 1000+ Đề thi cuối kì 1 file word cấu trúc mới 2025 Toán, Văn, Anh... lớp 1-12 (chỉ từ 60k). Tải ngay
- Trọng tâm Lí, Hóa, Sinh 10 cho cả 3 bộ KNTT, CTST và CD VietJack - Sách 2025 ( 40.000₫ )
- Sách - Sổ tay kiến thức trọng tâm Vật lí 10 VietJack - Sách 2025 theo chương trình mới cho 2k9 ( 31.000₫ )
- Sách lớp 10 - Combo Trọng tâm Toán, Văn, Anh và Lí, Hóa, Sinh cho cả 3 bộ KNTT, CD, CTST VietJack ( 75.000₫ )
- Sách lớp 11 - Trọng tâm Toán, Lý, Hóa, Sử, Địa lớp 11 3 bộ sách KNTT, CTST, CD VietJack ( 52.000₫ )
CÂU HỎI HOT CÙNG CHỦ ĐỀ
Câu 1
a) Hệ trên là hệ bất phương trình bậc nhất hai ẩn.
b) Điểm \(\left( {1;3} \right)\) thuộc miền nghiệm của hệ.
c) Miền nghiệm của hệ bất phương trình là một tam giác.
Lời giải
a) Hệ trên là hệ bất phương trình bậc nhất hai ẩn.
b) Thay tọa độ điểm \(\left( {1;3} \right)\) vào hệ ta được \(\left\{ \begin{array}{l}3 \cdot 1 + 3 \le 6\\1 + 3 \le 4\\1 \ge 0,3 \ge 0\end{array} \right.\) (đúng).
Vậy điểm \(\left( {1;3} \right)\) thuộc miền nghiệm của bất phương trình.
c) Miền nghiệm của hệ bất phương trình là miền tứ giác \(OABC\), kể cả các cạnh (phần tô màu) với \(O\left( {0;0} \right),A\left( {0;4} \right),B\left( {1;3} \right),C\left( {2;0} \right)\).

d) \({S_{OABC}} = {S_{AHB}} + {S_{OHBK}} + {S_{BKC}}\)\( = \frac{1}{2} \cdot 1 \cdot 1 + 1 \cdot 3 + \frac{1}{2} \cdot 3 \cdot 1 = 5\).
Đáp án: a) Đúng; b) Đúng; c) Sai; d) Đúng.
Lời giải
Theo đề ta có hệ bất phương trình \(\left\{ \begin{array}{l}x \ge 0\\y \ge 0\\2x + 4y \le 200\\30x + 15y \le 1200\end{array} \right.\)(I).
Lợi nhuận thu được là \(F\left( {x,y} \right) = 40x + 30y\).
Bài toán trở thành tìm giá trị lớn nhất của biểu thức \(F\left( {x,y} \right) = 40x + 30y\) trên miền nghiệm của hệ bất phương trình (I).
Miền nghiệm của bất phương trình là miền tứ giác \(OABC\), kể cả các cạnh (phần tô màu) với \(O\left( {0;0} \right),A\left( {0;50} \right),B\left( {20;40} \right),C\left( {40;0} \right)\).

Khi đó \(F\left( {0,0} \right) = 40 \cdot 0 + 30 \cdot 0 = 0\); \(F\left( {0,50} \right) = 40 \cdot 0 + 30 \cdot 50 = 1500\);
\(F\left( {20,40} \right) = 40 \cdot 20 + 30 \cdot 40 = 2000\); \(F\left( {40,0} \right) = 40 \cdot 40 + 30 \cdot 0 = 1600\).
Lợi nhuận lớn nhất là 2000 nghìn đồng khi sản xuất 20 sản phẩm loại I, 40 sản phẩm loại II.
Suy ra \(x = 20;y = 40\). Do đó \(x + y = 60\).
Lời giải
Bạn cần đăng ký gói VIP ( giá chỉ từ 199K ) để làm bài, xem đáp án và lời giải chi tiết không giới hạn.
Lời giải
Bạn cần đăng ký gói VIP ( giá chỉ từ 199K ) để làm bài, xem đáp án và lời giải chi tiết không giới hạn.
Lời giải
Bạn cần đăng ký gói VIP ( giá chỉ từ 199K ) để làm bài, xem đáp án và lời giải chi tiết không giới hạn.
Câu 6
Lời giải
Bạn cần đăng ký gói VIP ( giá chỉ từ 199K ) để làm bài, xem đáp án và lời giải chi tiết không giới hạn.
Câu 7
Lời giải
Bạn cần đăng ký gói VIP ( giá chỉ từ 199K ) để làm bài, xem đáp án và lời giải chi tiết không giới hạn.
