Quảng cáo
Trả lời:
Đáp án
1
Giải thích
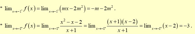
Tập xác định \(D = R\).
* \(f\left( { - 1} \right) = - m - 2{m^2}\)

Hàm số liên tục tại \(x = - 1\) khi và chỉ khi
\( \Leftrightarrow - m - 2{m^2} = - 3 \Leftrightarrow 2{m^2} + m - 3 = 0 \Leftrightarrow \left[ {\begin{array}{*{20}{l}}{m = 1}\\{m = - \frac{3}{2}}\end{array}} \right.\).
Vậy có 1 giá trị nguyên của \(m\) thỏa mãn.
Hot: 1000+ Đề thi giữa kì 2 file word cấu trúc mới 2026 Toán, Văn, Anh... lớp 1-12 (chỉ từ 60k). Tải ngay
- Tuyển tập 30 đề thi đánh giá năng lực Đại học Quốc gia TP Hồ Chí Minh (2 cuốn) ( 140.000₫ )
- Tuyển tập 30 đề thi đánh giá năng lực Đại học Quốc gia Hà Nội 2025 (Tập 1) ( 39.000₫ )
- Tuyển tập 15 đề thi Đánh giá tư duy Đại học Bách Khoa Hà Nội 2025 (Tập 1) ( 39.000₫ )
- Tuyển tập 30 đề thi đánh giá năng lực Đại học Quốc gia Hà Nội, TP Hồ Chí Minh (2 cuốn) ( 150.000₫ )
CÂU HỎI HOT CÙNG CHỦ ĐỀ
Câu 1
Lời giải
Đáp án A
\(\frac{{8a}}{9}\)
Giải thích

Ta có: \(SA \bot \left( {ABC} \right) \Rightarrow SA \bot BC\,\,\left( 1 \right)\)
\(\Delta ABC\) vuông tại \(B \Rightarrow BC \bot AB\,\,\left( 2 \right)\)
Từ (1) và \(\left( 2 \right) \Rightarrow BC//\left( {SAB} \right)\)
Trong \({\rm{mp}}\left( {SBC} \right)\) kẻ \(KH//BC\left( {H \in SB} \right)\)
\( \Rightarrow KH \bot \left( {SAB} \right) \Rightarrow d\left( {K,\left( {SAB} \right)} \right) = KH\)
Ta có: \(AC = \sqrt {A{B^2} + B{C^2}} = \sqrt {{a^2} + 4{a^2}} = a\sqrt 5 \).
\(SC = \sqrt {S{A^2} + A{C^2}} = \sqrt {4{a^2} + 5{a^2}} = 3a\).
\(S{A^2} = SK.SC \Rightarrow SK = \frac{{S{A^2}}}{{SC}} = \frac{{4{a^2}}}{{3a}} = \frac{{4a}}{3}\).
Vì \(KH//BC\) nên \(\frac{{KH}}{{BC}} = \frac{{SK}}{{SC}} \Rightarrow KH = \frac{{SK.BC}}{{SC}} = \frac{{\frac{4}{3}a.2a}}{{3a}} = \frac{8}{9}a\).
Lời giải
Đáp án B
120
Giải thích
+ TH1: Lấy được một quả cầu ghi số chia hết cho 10; quả cầu còn lại ghi số không chia hết cho 10.
Số cách lấy một quả cầu ghi số chia hết cho 10 là \(C_3^1 = 3\) (Vì từ 1 đến 30 có ba số chia hết cho 10 là 10, 20, 30).
Số cách lấy được một quả cầu ghi số không chia hết cho 10 là \(C_{27}^1 = 27\) cách.
Theo quy tắc nhân ta có số \(3.27 = 81\) (cách).
+ TH2: Chọn được một quả cầu ghi số chia hết cho 5, quả cầu còn lại ghi số chẵn và hai số này đều không chia hết cho 10.
Số cách chọn quả cầu ghi số chia hết cho 5 là \(C_3^1 = 3\) cách (Vì có 3 số chia hết cho 5 nhưng không chia hết cho 10 là 5, 15, 25).
Số cách chọn quả cầu ghi số chẵn nhưng không chia hết cho 10 là \(C_{12}^1 = 12\) cách.
Theo quy tắc nhân ta có \(3.12 = 36\) cách.
+ TH3: Chọn được hai quả cầu đều ghi số chia hết cho 10.
Số cách chọn là \(C_3^2 = 3\) cách.
Vậy ta có \(81 + 36 + 3 = 120\) (cách).
Lời giải
Bạn cần đăng ký gói VIP ( giá chỉ từ 199K ) để làm bài, xem đáp án và lời giải chi tiết không giới hạn.
Câu 4
Lời giải
Bạn cần đăng ký gói VIP ( giá chỉ từ 199K ) để làm bài, xem đáp án và lời giải chi tiết không giới hạn.
Câu 5
Lời giải
Bạn cần đăng ký gói VIP ( giá chỉ từ 199K ) để làm bài, xem đáp án và lời giải chi tiết không giới hạn.
Câu 6
Lời giải
Bạn cần đăng ký gói VIP ( giá chỉ từ 199K ) để làm bài, xem đáp án và lời giải chi tiết không giới hạn.
Lời giải
Bạn cần đăng ký gói VIP ( giá chỉ từ 199K ) để làm bài, xem đáp án và lời giải chi tiết không giới hạn.



