Quảng cáo
Trả lời:

Hot: 1000+ Đề thi cuối kì 1 file word cấu trúc mới 2025 Toán, Văn, Anh... lớp 1-12 (chỉ từ 60k). Tải ngay
- Tuyển tập 30 đề thi đánh giá năng lực Đại học Quốc gia TP Hồ Chí Minh (2 cuốn) ( 140.000₫ )
- Tuyển tập 30 đề thi đánh giá năng lực Đại học Quốc gia Hà Nội 2025 (Tập 1) ( 39.000₫ )
- Tuyển tập 15 đề thi Đánh giá tư duy Đại học Bách Khoa Hà Nội 2025 (Tập 1) ( 39.000₫ )
- Tuyển tập 30 đề thi đánh giá năng lực Đại học Quốc gia Hà Nội, TP Hồ Chí Minh (2 cuốn) ( 150.000₫ )
CÂU HỎI HOT CÙNG CHỦ ĐỀ
Câu 1
Lời giải
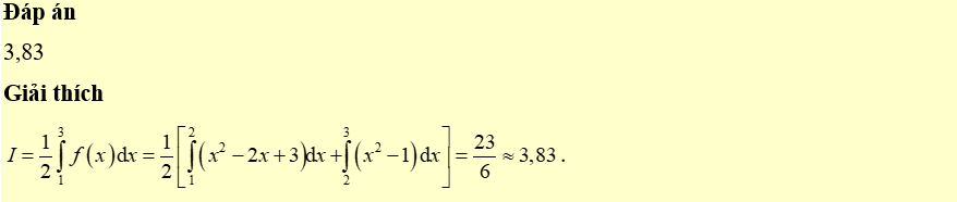
Đáp án
\(\frac{{12a}}{5}\).
Giải thích

Trong mặt phẳng \(\left( {ABCD} \right)\) dựng \(BI \bot HC\).
Ta có: \(\left\{ {\begin{array}{*{20}{l}}{\left( {SAB} \right) \cap \left( {SHC} \right) = SH}\\{\left( {SAB} \right) \bot \left( {ABCD} \right);\left( {SHC} \right) \bot \left( {ABCD} \right)}\end{array} \Rightarrow SH \bot \left( {ABCD} \right)} \right.\).
Khi đó, \(\left\{ {\begin{array}{*{20}{l}}{BI \bot HC}\\{BI \bot SH}\end{array} \Rightarrow BI \bot \left( {SHC} \right) \Rightarrow d\left( {B,\left( {SHC} \right)} \right) = BI} \right.\).
Xét trong tam giác \(BHC\) vuông tại \(B\) ta có:
\(\frac{1}{{B{I^2}}} = \frac{1}{{B{H^2}}} + \frac{1}{{B{C^2}}} = \frac{1}{{{{(3a)}^2}}} + \frac{1}{{{{(4a)}^2}}} = \frac{{25}}{{144{a^2}}} \Rightarrow BI = \frac{{12a}}{5}\).
Vậy khoảng cách từ B đến mặt phẳng \(\left( {SHC} \right)\) bằng \(\frac{{12a}}{5}\).
Câu 2
Lời giải
Đáp án
Liên bang Nga nhập siêu trong cả giai đoạn.
Giải thích
Từ năm 2000 đến 2020, trị giá xuất khẩu tăng 3,33 lần, nhập khẩu tăng 4,88 lần, nên xuất khẩu tăng ít hơn nhập khẩu. Vì xuất khẩu luôn lớn hơn nhập khẩu nên trong cả giai đoạn này Liên bang Nga xuất siêu. Như vậy, đáp án cần chọn là Liên bang Nga nhập siêu trong cả giai đoạn.
Câu 3
Lời giải
Bạn cần đăng ký gói VIP ( giá chỉ từ 199K ) để làm bài, xem đáp án và lời giải chi tiết không giới hạn.
Lời giải
Bạn cần đăng ký gói VIP ( giá chỉ từ 199K ) để làm bài, xem đáp án và lời giải chi tiết không giới hạn.
Câu 5
Lời giải
Bạn cần đăng ký gói VIP ( giá chỉ từ 199K ) để làm bài, xem đáp án và lời giải chi tiết không giới hạn.
Lời giải
Bạn cần đăng ký gói VIP ( giá chỉ từ 199K ) để làm bài, xem đáp án và lời giải chi tiết không giới hạn.
Lời giải
Bạn cần đăng ký gói VIP ( giá chỉ từ 199K ) để làm bài, xem đáp án và lời giải chi tiết không giới hạn.


