Một loài động vật mà giới cái là XX, giới đực là XY, alen A quy định mắt đỏ trội hoàn toàn so với allele a quy định mắt trắng; kiểu gene có cả allele B và D cho thân xám, các kiểu gen còn lại cho thân đen. Thế hệ (P) xảy ra phép lai giữa 2 cá thể cùng mắt đỏ, thân xám, thu được F1 có tỉ lệ các loại kiểu hình như thống kê trong bảng:
Tỉ lệ đực : cái là 1: 1
Loại kiểu hình
Mắt đỏ, thân xám
Mắt đỏ, thân đen
Mắt trắng, thân xám
Mắt trắng, thân đen
Giới cái
66%
9%
9%
16%
Giới đực
33%
42%
4,5%
20,5%
Theo lý thuyết, những con đực mắt đỏ, thân xám có 3 alen trội ở F1 chiếm tỉ lệ bao nhiêu %?
Một loài động vật mà giới cái là XX, giới đực là XY, alen A quy định mắt đỏ trội hoàn toàn so với allele a quy định mắt trắng; kiểu gene có cả allele B và D cho thân xám, các kiểu gen còn lại cho thân đen. Thế hệ (P) xảy ra phép lai giữa 2 cá thể cùng mắt đỏ, thân xám, thu được F1 có tỉ lệ các loại kiểu hình như thống kê trong bảng:
|
Tỉ lệ đực : cái là 1: 1 |
Loại kiểu hình |
|||
|
Mắt đỏ, thân xám |
Mắt đỏ, thân đen |
Mắt trắng, thân xám |
Mắt trắng, thân đen |
|
|
Giới cái |
66% |
9% |
9% |
16% |
|
Giới đực |
33% |
42% |
4,5% |
20,5% |
Theo lý thuyết, những con đực mắt đỏ, thân xám có 3 alen trội ở F1 chiếm tỉ lệ bao nhiêu %?
Quảng cáo
Trả lời:
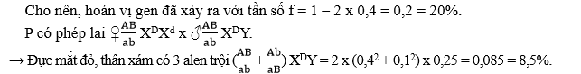
Đáp án: 8,5.
Xét riêng tỉ lệ F1:
- Mỗi giới đều có 3 mắt đỏ: 1 mắt trắng → A, a thuộc NST thường và P xảy ra phép lai Aa x Aa.
- Tính trạng màu sắc thân phân bố không đều ở 2 giới, chứng tỏ có 1 trong 2 gen liên kết vùng không tương đồng của NST X, giả sử B liên kết X.
Khi xét chung tỉ lệ, có 9 xám: 7 đen → P có phép lai BbXDXd x BbXDY.
Gom chung cả 2 loại tính trạng, F1 có tỉ lệ mắt đỏ, thân xám chiếm 49,5%; tỉ lệ này khác phân ly độc lập → Có liên kết gen .
Thấy rằng, A thuộc NST thường phân ly độc lập với D thuộc X, B thuộc NST thường phân ly độc lập với D thuộc X. →A liên kết B
Do vậy: A-B-D- = 0,495 = A-B- x 0,75D- →A-B- = 0,66 nên aabb = 0,66 – 0,5 = 0,16 = 0,4ab x 0,4ab.

Hot: 1000+ Đề thi cuối kì 2 file word cấu trúc mới 2026 Toán, Văn, Anh... lớp 1-12 (chỉ từ 60k). Tải ngay
CÂU HỎI HOT CÙNG CHỦ ĐỀ
Lời giải
Đáp án: 6
Tế bào Y: Ta thấy có 2 cặp NST mang 2 cặp gen M,m và N,n còn cặp NST mang gen A,B,D,e chỉ có 1 nên ta có thể kết luận cặp NST mang gen M,m và N,n không phân ly trong giảm phân I, tế bào đang ở kỳ sau giảm phân II vì vậy ta có 2n = 6
Câu 2
Lời giải
a: Sai; b: Đúng; c: Sai; d: Đúng.
Gợi ý:
- Kiểu hình (dựa vào bảng 8+4+6+9 = 27 = 3³:
+ Mỗi locus có 3 kiểu gen (AA/Aa/aa). Enzyme có khi có ít nhất một allele trội (A_, B_, D_); không khi đồng hợp lặn (aa, bb, dd).
+ Khỏe mạnh (8) = A - B -D-⇒ 2·2·2 = 8.
+ Bệnh 1 (4) = A- B- dd ⇒ 2·2·1 = 4 → do thiếu enzim D → tích lũy chất D.
+ Bệnh 2 (6) = A-bbdd(D-) ⇒ 2·1·3 = 6 → do thiếu enzim B → tích lũy chất B.
+ Bệnh 3 (9) = aabb(B-)dd(D-) ⇒ 1·3·3 = 9 → do thiếu enzim A → tích lũy chất A.
a) “Bệnh 1 do tế bào tích lũy nhiều chất A.”
→ Sai. Bệnh 1 từ dd (thiếu enzim D) nên tích lũy chất D, không phải chất A.
b) “Một người bệnh 1 kết hôn với người bệnh 3 có thể sinh con không mắc bệnh.”
→ Đúng. Ví dụ: bố (bệnh 1) có kiểu gen AA BB dd, mẹ (bệnh 3) aa BB DD → con Aa BB Dd (có A_, B_, D_ ⇒ khỏe). Vậy có khả năng sinh con khỏe.
c) “Một cặp vợ chồng đều bị bệnh 3 có thể sinh con bị bệnh 1.”
→ Sai. Bệnh 3 = aa ở cả hai ⇒ mọi con cũng aa (không có A) ⇒ không thể là bệnh 1 (bệnh 1 cần A_ và dd).
d) “Một cặp vợ chồng đều khoẻ mạnh, đều có kiểu gen mang đủ các loại alen. Khả năng sinh con đầu lòng mắc bệnh 2 là 18,75%.”
(giả sử “mang đủ alen” = bố mẹ đều AaBbDd)
→ Đúng. P(con bb) = 1/4; P(con không aa) = 3/4 → P = 1/4·3/4 = 3/16 = 18,75%.
Câu 3
Lời giải
Bạn cần đăng ký gói VIP ( giá chỉ từ 250K ) để làm bài, xem đáp án và lời giải chi tiết không giới hạn.
Lời giải
Bạn cần đăng ký gói VIP ( giá chỉ từ 250K ) để làm bài, xem đáp án và lời giải chi tiết không giới hạn.
Câu 5
Lời giải
Bạn cần đăng ký gói VIP ( giá chỉ từ 250K ) để làm bài, xem đáp án và lời giải chi tiết không giới hạn.
Câu 6
Lời giải
Bạn cần đăng ký gói VIP ( giá chỉ từ 250K ) để làm bài, xem đáp án và lời giải chi tiết không giới hạn.



