Thể tích vật thể khi quay phần hình phẳng giới hạn bởi đồ thị hàm số \(y = {x^2} + 1\) và các đường thẳng \(y = 0,x = 0,x = 1\) quanh trục \(Oy\) là:
Quảng cáo
Trả lời:
Đáp án đúng là C
Phương pháp giải
Đưa về bài toán quay hình phẳng quay quanh trục \(Ox\), sau đó sử dụng công thức tính thể tích khối tròn xoay.
Lời giải
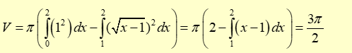
Ta đưa bài toán đã cho về bài toán: Tính thể tích vật thể khi quay phần hình phẳng giới hạn bởi đồ thị hàm số \(y = \sqrt {x - 1} \) và các đường thẳng \(x = 0,y = 0,y = 1\) quanh trục \(Ox\).

Khi đó, thể tích phần vật thể cần tính là:

Hot: 1000+ Đề thi cuối kì 2 file word cấu trúc mới 2026 Toán, Văn, Anh... lớp 1-12 (chỉ từ 60k). Tải ngay
CÂU HỎI HOT CÙNG CHỦ ĐỀ
Lời giải
Đáp án đúng là "8/11"
Phương pháp giải
Vận dụng công thức Bernoulli, công thức Bayes.
Lời giải
Gọi A là biến cố "Chai rượu đó là chai rượu loại A", B là biến cố "Chai rượu đó là chai rượu loại B". Dễ thấy \(A = \overline B \).
Gọi \(H\) là biến cố "3 người kết luận đó là loại rượu A, 2 người kết luận đó là loại rượu B".
Xác suất cần tính là \(P\left( {A\mid H} \right)\).
Có \(P\left( A \right) = \frac{2}{5} = 0,4;\,\,P\left( B \right) = \frac{3}{5} = 0,6\) do số lượng chai rượu loại A bằng \(\frac{2}{3}\) số chai rượu loại B.
Xác suất \(P\left( {H\mid A} \right)\) chính là xác suất "3 người kết luận đúng, 2 người kết luận sai khi đó là loại rượu A". Khi đó, theo công thức Bernoulli, ta có: \(P\left( {H|A} \right) = C_5^3.0,{8^3}.{(1 - 0,8)^{5 - 3}} = 0,2048\)
Một cách tương tự, ta tính được: \(P\left( {H|B} \right) = C_5^2.0,{8^2}.{(1 - 0,8)^{5 - 2}} = 0,0512\).
Khi đó, theo công thức Bayes, xác suất cần tính là:
\(P\left( {A\mid H} \right) = \frac{{P\left( {AH} \right)}}{{P\left( H \right)}} = \frac{{P\left( {H\mid A} \right)P\left( A \right)}}{{P\left( {H\mid A} \right)P\left( A \right) + P\left( {H\mid B} \right)P\left( B \right)}}\)
\(P\left( {A\mid H} \right) = \frac{{0,2048.0,4}}{{0,2048.0,4 + 0.0512.0,6}} = \frac{8}{{11}}\)
Câu 2
Lời giải
Đáp án đúng là D
Phương pháp giải
Tìm điều kiện để học sinh đạt ít nhất 8 điểm, sau đó vận dụng công thức Bernoulli.
Lời giải
Gọi số câu hỏi mà học sinh đó trả lời đúng là \(x\).
Để học sinh đó đạt được tối thiểu 8 điểm trong bài kiểm tra thì:
\(0,5x - 0,2.\left( {20 - x} \right) \ge 8 \Leftrightarrow x \ge \frac{{120}}{7}\)
\( \Rightarrow \) Học sinh đó cần trả lời đúng ít nhất 18 câu để có thể đạt tối thiểu 8 điểm.
Theo công thức Bernoulli, xác suất để học sinh đó trả lời đúng \(i\) câu là:
\(P\left( {x = i} \right) = C_{20}^i.{(0,25)^i}.{(0,75)^{20 - i}}\)
Khi đó, xác suất để học sinh đó trả lời đúng ít nhất 18 câu là:

Câu 3
Lời giải
Bạn cần đăng ký gói VIP ( giá chỉ từ 250K ) để làm bài, xem đáp án và lời giải chi tiết không giới hạn.
Câu 4
Lời giải
Bạn cần đăng ký gói VIP ( giá chỉ từ 250K ) để làm bài, xem đáp án và lời giải chi tiết không giới hạn.
Câu 5
Lời giải
Bạn cần đăng ký gói VIP ( giá chỉ từ 250K ) để làm bài, xem đáp án và lời giải chi tiết không giới hạn.
Lời giải
Bạn cần đăng ký gói VIP ( giá chỉ từ 250K ) để làm bài, xem đáp án và lời giải chi tiết không giới hạn.
Câu 7
Lời giải
Bạn cần đăng ký gói VIP ( giá chỉ từ 250K ) để làm bài, xem đáp án và lời giải chi tiết không giới hạn.