Trong không gian với hệ tọa độ , cho đường thẳng
. Các khẳng định sau đúng hay sai?
Trong không gian với hệ tọa độ , cho đường thẳng
. Các khẳng định sau đúng hay sai?
a) Gọi là góc giữa đường thẳng
và trục tọa độ Ox. Khi đó, 
b) Gọi là góc giữa đường thẳng d và đường thẳng
. Số đo góc nhỏ hơn góc 600 .
c) Đường thẳng
tạo với đường thẳng d góc sao cho
. Tổng các giá trị của tham số m bằng 18.
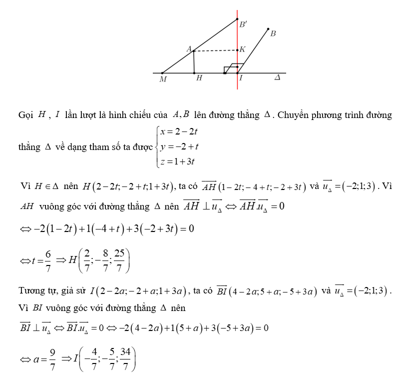
d) Gọi là đường thẳng đi qua điểm A ( 1; -1 ; 2), song song với mặt phẳng
, đồng thời tạo với đường thẳng d một góc lớn nhất. Khi đó, đi qua điểm
.
Quảng cáo
Trả lời:

Hot: 1000+ Đề thi giữa kì 2 file word cấu trúc mới 2026 Toán, Văn, Anh... lớp 1-12 (chỉ từ 60k). Tải ngay
- 250+ Công thức giải nhanh môn Toán 12 (chương trình mới) ( 18.000₫ )
- 20 Bộ đề, Tổng ôn, sổ tay môn Toán (có đáp án chi tiết) ( 55.000₫ )
- Sổ tay lớp 12 các môn Toán, Lí, Hóa, Văn, Sử, Địa, KTPL (chương trình mới) ( 36.000₫ )
- Tuyển tập 30 đề thi đánh giá năng lực Đại học Quốc gia Hà Nội, TP Hồ Chí Minh (2 cuốn) ( 150.000₫ )
CÂU HỎI HOT CÙNG CHỦ ĐỀ
Lời giải
Bạn cần đăng ký gói VIP ( giá chỉ từ 199K ) để làm bài, xem đáp án và lời giải chi tiết không giới hạn.
Câu 4
A. 600
B . 300
C. 1200
D. 1500
Lời giải
Bạn cần đăng ký gói VIP ( giá chỉ từ 199K ) để làm bài, xem đáp án và lời giải chi tiết không giới hạn.
Lời giải
Bạn cần đăng ký gói VIP ( giá chỉ từ 199K ) để làm bài, xem đáp án và lời giải chi tiết không giới hạn.
Lời giải
Bạn cần đăng ký gói VIP ( giá chỉ từ 199K ) để làm bài, xem đáp án và lời giải chi tiết không giới hạn.
Lời giải
Bạn cần đăng ký gói VIP ( giá chỉ từ 199K ) để làm bài, xem đáp án và lời giải chi tiết không giới hạn.
, đồng thời tạo với đường thẳng
một góc 900. Một véc tơ chỉ phương của đường thẳng d là
. Tính 

. Biết điểm M thay đổi trên sao cho
đạt giá trị lớn nhất. Giá trị lớn nhất của
là số thực có dạng
. Tính A = a + b.

. Điểm nào sau đây không thuộc đường thẳng d ?



. Tính góc tạo bởi (P) với trục Oy.
và
bằng
(trong đó t (h) là thời gian chuyển động).
có một vectơ chỉ phương là


