Một vật bắt đầu chuyển động thẳng từ trạng thái đứng yên, có vận tốc là một hàm số liên tục theo thời gian v(t) (m/s). Trong 6 giây đầu tiên kể từ lúc bắt đầu chuyển động, vật chuyển động với gia tốc không đổi là . Từ giây thứ 6 đến giây thứ 18, vật chuyển động với hàm số gia tốc theo thời gian là . Kể từ giây thứ 18, vật chuyển động chậm dần đều và dừng hẳn ở giây thứ 30. Tìm quãng đường mà vật đi được kể từ lúc bắt đầu chuyển động cho đến lúc dừng hẳn. (nhập đáp án vào ô trống)
Đáp án: ____
Quảng cáo
Trả lời:
Đáp án đúng là "492"
Phương pháp giải
Ứng dụng nguyên hàm trong bài toán chuyển động.
Lời giải
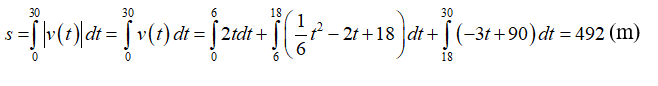
Với \(0 \le t \le 6:a\left( t \right) = 2\).
\(v\left( t \right) = \mathop \smallint \nolimits^ \;a\left( t \right)dt = \mathop \smallint \nolimits^ \;2dt = 2t + C\). Ta có \(v\left( 0 \right) = 0\) nên \(2.0 + C = 0 \Rightarrow C = 0\). Do đó \(v\left( t \right) = 2t\) và \(v\left( 6 \right) = 12\).
Với \(6 < t \le 18:a\left( t \right) = \frac{1}{3}t - 2\).
\(v\left( t \right) = \mathop \smallint \nolimits^ \;a\left( t \right)dt = \mathop \smallint \nolimits^ \;\left( {\frac{1}{3}t - 2} \right)dt = \frac{1}{6}{t^2} - 2t + {C_1}\). Ta \(v\left( 6 \right) = 12\) có nên
\(\frac{1}{6}{.6^2} - 2.6 + {C_1} = 12 \Rightarrow {C_1} = 18\). Do đó \(v\left( t \right) = \frac{1}{6}{t^2} - 2t + 18\) và \(v\left( {18} \right) = 36\).
Kể từ giây thứ 18, vật chuyển động chậm dần đều và dừng hẳn ở giây thứ 30 nên gia tốc trong khoảng thời gian này của vật là \(a = \frac{{0 - 36}}{{30 - 18}} = - 3\left( {{\rm{m}}/{{\rm{s}}^2}} \right)\).
Với \(18 < t \le 30:a\left( t \right) = - 3\).
\(v\left( t \right) = \mathop \smallint \nolimits^ \;a\left( t \right)dt = \mathop \smallint \nolimits^ \; - 3dt = - 3t + {C_2}\). Ta có \(v\left( {18} \right) = 36\) nên
\( - 3.18 + {C_2} = 36 \Rightarrow {C_2} = 90\). Do đó \(v\left( t \right) = - 3t + 90\)
Quãng đường mà vật đi được kể từ lúc bắt đầu chuyển động cho đến lúc dừng hẳn là:

Hot: 1000+ Đề thi cuối kì 2 file word cấu trúc mới 2026 Toán, Văn, Anh... lớp 1-12 (chỉ từ 60k). Tải ngay
- Tuyển tập 15 đề thi Đánh giá tư duy Đại học Bách Khoa Hà Nội 2025 (Tập 1) ( 39.000₫ )
- Tuyển tập 30 đề thi đánh giá năng lực Đại học Quốc gia Hà Nội 2025 (Tập 1) ( 39.000₫ )
- Tuyển tập 30 đề thi đánh giá năng lực Đại học Quốc gia TP Hồ Chí Minh (2 cuốn) ( 140.000₫ )
- Tuyển tập 30 đề thi đánh giá năng lực Đại học Quốc gia Hà Nội, TP Hồ Chí Minh (2 cuốn) ( 150.000₫ )
CÂU HỎI HOT CÙNG CHỦ ĐỀ
Lời giải
Đáp án đúng là "28/3"
Phương pháp giải
Để tính thể tích bê tông làm tường cong theo đề bài, ta cần tính diện tích tam giác cong \(ACE\) rồi nhân với \(AB\).
Diện tích hình phẳng giới hạn bởi các đồ thị hàm số \(y = f\left( x \right),y = g\left( x \right)\) và các đường thẳng \(x = a,x = b\) (\(f\left( x \right),g\left( x \right)\) liên tục trên đoạn \(\left[ {a;b} \right])\) là: .
Lời giải
Đặt hệ trục tọa độ \(Oxy\) sao cho \(O \equiv C,Oy \equiv CE\), tia \(Ox\) là tia đối của tia \(CA\) như hình vẽ.

Gọi \(N\) là giao điểm của đường cong \(AE\) và đường thẳng qua \(M\), song song với \(CE\).
Do cạnh cong \(AE\) nằm trên một đường Parabol nên phương trình cạnh cong \(AE\) có dạng \(y = a{x^2} + bx + c\). Cạnh \(AE\) đi qua các điểm \(A\left( { - 4;0} \right);E\left( {0;3} \right);N\left( { - 2;1} \right)\) nên ta có hệ phương trình:
\(\left\{ {\begin{array}{*{20}{l}}{16a - 4b + c = 0}\\{c = 3}\\{4a - 2b + c = 1}\end{array} \Leftrightarrow \left\{ {\begin{array}{*{20}{l}}{a = \frac{1}{8}}\\{b = \frac{5}{4}}\\{c = 3}\end{array}} \right.} \right.\). Do đó cạnh cong \(AE\) có phương trình \(y = \frac{1}{8}{x^2} + \frac{5}{4}x + 3\).
Ta có \({S_{ACE}} = \int\limits_{ - 4}^0 {\left( {\frac{1}{8}{x^2} + \frac{5}{4}x + 3} \right)dx} = \left. {\left( {\frac{1}{{24}}{x^3} + \frac{5}{8}{x^2} + 3x} \right)} \right|_{ - 4}^0 = \frac{{14}}{3}\).
Thể tích bê tông cần sử dụng để tạo nên khối tường cong đã cho là:
\(V = {S_{ACE}}.h = \frac{{14}}{3}.2 = \frac{{28}}{3}\).
Lời giải
Đáp án đúng là C
Phương pháp giải
Sự tương giao đồ thị.
Lời giải
Ta có
\(f\left( {{x^3}f\left( x \right)} \right) + 1 = 0 \Leftrightarrow f\left( {{x^3}f\left( x \right)} \right) = - 1 \Leftrightarrow \left[ {\begin{array}{*{20}{l}}{{x^3}f\left( x \right) = 0}\\{{x^3}f\left( x \right) = a > 0}\\{{x^3}f\left( x \right) = b > 0}\end{array}} \right.\)
\( \Leftrightarrow \left[ {\begin{array}{*{20}{l}}{x = 0}\\{f\left( x \right) = 0\,\,\,\,(1)}\\{f\left( x \right) = \frac{a}{{{x^3}}}\left( {x \ne 0} \right)\,\,\,\,\,(2)}\\{f\left( x \right) = \frac{b}{{{x^3}}}\left( {x \ne 0} \right)\,\,\,\,\,(3)}\end{array}} \right.\)

Giải (1): \(f\left( x \right) = 0 \Leftrightarrow x = c > 0\)
Giải (2): \(f\left( x \right) = \frac{a}{{{x^3}}} \Leftrightarrow f\left( x \right) - \frac{a}{{{x^3}}} = 0\), với \(x \ne 0,a > 0\).
Đặt \(g\left( x \right) = f\left( x \right) - \frac{a}{{{x^3}}}\)
\(g'\left( x \right) = f'\left( x \right) + \frac{{3a}}{{{x^4}}}\).
Trường hợp 1: \(x > c\).
Dựa vào đồ thị hàm số đã cho, ta có \(f'\left( x \right) > 0 \Rightarrow g'\left( x \right) = f'\left( x \right) + \frac{{3a}}{{{x^4}}} > 0\) nên \(g\left( x \right)\) đồng biến trên \(\left( {c; + \infty } \right)\).
Mà và \(g\left( x \right)\) liên tục trên \(\left( {c; + \infty } \right)\)
Do đó, \(g\left( x \right) = 0\) có nghiệm duy nhất trên \(\left( {c; + \infty } \right)\).
Trường hợp 2: \(0 < x < c\) thì \(f\left( x \right) < 0 < \frac{a}{{{x^3}}}\) nên \(g\left( x \right) = 0\) vô nghiệm.
Trường hợp 3: \(x < 0\).
Dựa vào đồ thị hàm số đã cho, ta có \(f'\left( x \right) > 0 \Rightarrow g'\left( x \right) = f'\left( x \right) + \frac{{3a}}{{{x^4}}} > 0\) nên \(g\left( x \right)\) đồng biến trên \(\left( { - \infty ;0} \right)\).
Mà và \(g\left( x \right)\) liên tục trên \(\left( { - \infty ;0} \right)\).
Do đó, \(g\left( x \right) = 0\) có nghiệm duy nhất trên \(\left( { - \infty ;0} \right)\).
Tóm lại, (2) có 2 nghiệm phân biệt khác 0 và khác \(c\).
Giải (3) hoàn toàn tương tự đối với (2), ta được (3) có 2 nghiệm phân biệt khác 0, khác c và khác 2 nghiệm phân biệt của (2).
Vậy phương trình \(f\left( {{x^3}f\left( x \right)} \right) + 1 = 0\) có đúng 6 nghiệm thực.
Câu 3
Lời giải
Bạn cần đăng ký gói VIP ( giá chỉ từ 250K ) để làm bài, xem đáp án và lời giải chi tiết không giới hạn.
Lời giải
Bạn cần đăng ký gói VIP ( giá chỉ từ 250K ) để làm bài, xem đáp án và lời giải chi tiết không giới hạn.
Lời giải
Bạn cần đăng ký gói VIP ( giá chỉ từ 250K ) để làm bài, xem đáp án và lời giải chi tiết không giới hạn.
Lời giải
Bạn cần đăng ký gói VIP ( giá chỉ từ 250K ) để làm bài, xem đáp án và lời giải chi tiết không giới hạn.
Câu 7
Lời giải
Bạn cần đăng ký gói VIP ( giá chỉ từ 250K ) để làm bài, xem đáp án và lời giải chi tiết không giới hạn.

