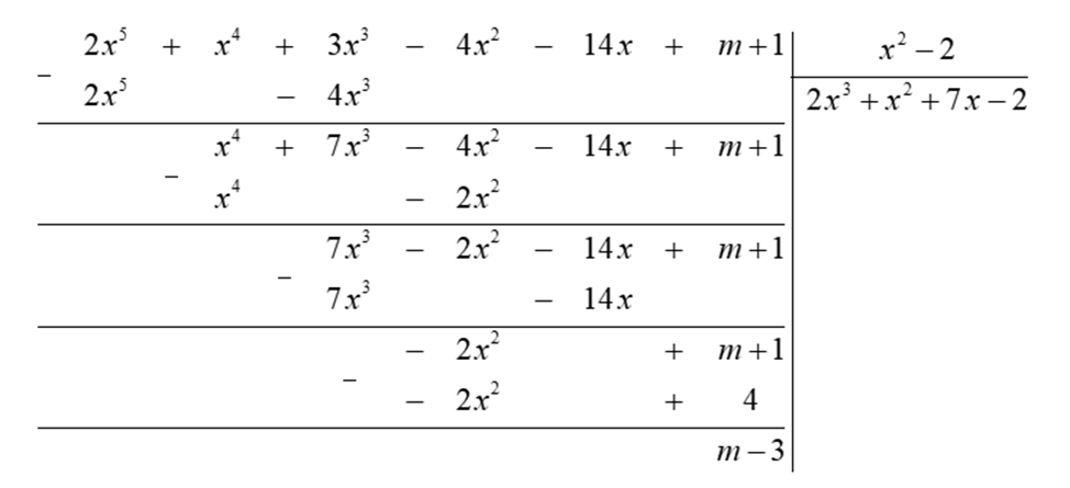
(0,5 điểm) Tìm số \(m\) sao cho đa thức \(2{x^5} + {x^4} + 3{x^3} - 4{x^2} - 14x + m + 1\) chia hết cho đa thức \({x^2} - 2\).
Câu hỏi trong đề: Bộ 10 đề thi cuối kì 2 Toán 7 Kết nối tri thức có đáp án !!
Quảng cáo
Trả lời:
Ta thực hiện đặt tính chia đa thức như sau:

Để \(2{x^5} + {x^4} + 3{x^3} - 4{x^2} - 14x + m + 1\) chia hết cho đa thức \({x^2} - 2\) thì \(m - 3 = 0\)
Do đó \(m = 3\).
Vậy \(m = 3\) thỏa mãn yêu cầu bài toán.
Hot: 1000+ Đề thi giữa kì 2 file word cấu trúc mới 2026 Toán, Văn, Anh... lớp 1-12 (chỉ từ 60k). Tải ngay
CÂU HỎI HOT CÙNG CHỦ ĐỀ
Lời giải
Gọi \(x\), \(y\), \(z\) \(\left( {{\rm{kg}}} \right)\)lần lượt là số kilôgam giấy vụn các chi đội \(7A\), \(7B\), \(7C\) thu gom được.
Do ba chi đội thu gom được tất cả \(180\,\,{\rm{kg}}\) giấy vụn nên ta có \(x + y + z = 180\).
Do số kg giấy vụn của chi đội \(7A\), \(7B\), \(7C\) lần lượt tỉ lệ thuận với \(6;5;4\) nên:
\(\frac{x}{6} = \frac{y}{5} = \frac{z}{4}\).
Áp dụng tính chất của dãy tỉ số bằng nhau, ta được:
\(\frac{x}{6} = \frac{y}{5} = \frac{z}{4} = \frac{{x + y + z}}{{6 + 5 + 4}} = \frac{{180}}{{15}} = 12\).
Với \(\frac{x}{6} = 12\), ta có \(x = 6.12 = 72\).
Với \(\frac{y}{5} = 12\), ta có \(y = 5.12 = 60\).
Với \(\frac{z}{4} = 12\), ta có \(z = 4.12 = 48\).
Vậy số kilôgam giấy vụn các chi đội \(7A\), \(7B\), \(7C\) thu gom được lần lượt là \(72\,\,{\rm{kg}}\); \({\rm{60}}\,\,{\rm{kg}}\) và \(48\,\,{\rm{kg}}\).
Lời giải

a) Xét \(\Delta ABD\) và \(\Delta EBD\), có:
\[AB = BE\] (giả thiết);
\(\widehat {ABD} = \widehat {EBD}\) (do \(BD\) là tia phân giác của \(\widehat {ABC}\));
\(BD\) là cạnh chung.
Do đó \(\Delta ABD = \Delta EBD\) (c.g.c).
Suy ra \(AD = DE\) (cặp cạnh tương ứng).
b) Ta có \(\widehat {BAD} = \widehat {BED}\) (do \(\Delta ABD = \Delta EBD\)).
Mà \(\widehat {BAD} < 90^\circ \) nên \(\widehat {BED} < 90^\circ \).
Mà \(\widehat {BED} + \widehat {DEC} = 180^\circ \) (hai góc kề bù).
Do đó \(\widehat {DEC} > 90^\circ \).
\(\Delta DEC\) có \(\widehat {DEC} > 90^\circ \) nên là góc tù, do đó \(DC\) là cạnh lớn nhất trong tam giác.
Suy ra \(DC > DE\).
Lại có \(AD = DE\) (câu a) nên \(DC > AD\).
c) • Ta có \(AB = EB,AF = EC\) nên \(BF = BC\)
\(\Delta BFC\) có \(BF = BC\) nên cân tại \(B\).
Suy ra đường trung tuyến \(BK\) đồng thời là đường phân giác, đường cao của \(\Delta BFC\).
Hay \(BK\) là đường phân giác của \(\widehat {ABC}\).
Mà \(BD\) là đường phân giác của \(\widehat {ABC}\) (giả thiết)
Do đó ba điểm \(B\), \(D\), \(K\) thẳng hàng.
• Khi \(\widehat {BAC} = 90^\circ \) ta có \(DA \bot BA\)
Xét \(\Delta DFC\) có \(FB \bot DC,BK \bot FC\) và \(FB,BK\) cắt nhau tại \(B\)
Do đó \(B\) là trực tâm của \(\Delta DFC\).
Câu 3
“Số ghi trên thẻ được rút ra là số chia hết cho 2”;
“Số ghi trên thẻ được rút ra là số nhỏ hơn hoặc bằng 8”;
“Số ghi trên thẻ được rút ra là số lẻ”;
“Số ghi trên thẻ được rút ra là số lớn hơn 1”.
Lời giải
Bạn cần đăng ký gói VIP ( giá chỉ từ 199K ) để làm bài, xem đáp án và lời giải chi tiết không giới hạn.
Câu 4
\(\frac{3}{{10}}\);
\(\frac{7}{{10}}\);
\(\frac{1}{{10}}\);
\(\frac{1}{3}\).
Lời giải
Bạn cần đăng ký gói VIP ( giá chỉ từ 199K ) để làm bài, xem đáp án và lời giải chi tiết không giới hạn.
Câu 5
A. \(y\) tỉ lệ nghịch với \[x\] theo hệ số tỉ lệ \(\frac{2}{3}\);
B. \(y\) tỉ lệ nghịch với \[x\] theo hệ số tỉ lệ \(\frac{3}{2}\);
C. \(y\) tỉ lệ thuận với \[x\] theo hệ số tỉ lệ \(\frac{2}{3}\);
D. \(y\) tỉ lệ thuận với \[x\] theo hệ số tỉ lệ \(\frac{3}{2}\).
Lời giải
Bạn cần đăng ký gói VIP ( giá chỉ từ 199K ) để làm bài, xem đáp án và lời giải chi tiết không giới hạn.
Câu 6
\(5\,\,476\,\,{\rm{c}}{{\rm{m}}^3}\);
\({\rm{50}}\,\,{\rm{653}}\,\,{\rm{c}}{{\rm{m}}^3}\);
\[25\,\,326,5\,\,{\rm{c}}{{\rm{m}}^3}\];
\[12\,\,663,25\,\,{\rm{c}}{{\rm{m}}^3}\].
Lời giải
Bạn cần đăng ký gói VIP ( giá chỉ từ 199K ) để làm bài, xem đáp án và lời giải chi tiết không giới hạn.
Lời giải
Bạn cần đăng ký gói VIP ( giá chỉ từ 199K ) để làm bài, xem đáp án và lời giải chi tiết không giới hạn.