(0,5 điểm) Cho \({x^2} - 4x + 1 = 0\).
Tính giá trị của biểu thức \(A = {x^5} - 3{x^4} - 3{x^3} + 6{x^2} - 20x + 6\).
Câu hỏi trong đề: Bộ 10 đề thi cuối kì 2 Toán 7 Chân trời sáng tạo có đáp án !!
Quảng cáo
Trả lời:
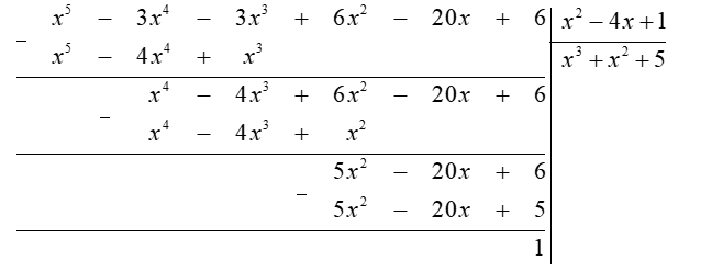
Ta thực hiện đặt tính chia đa thức \(A\) cho đa thức \({x^2} - 4x + 1\) như sau:

Do đó ta có \(A = \left( {{x^2} - 4x + 1} \right).\left( {{x^3} + {x^2} + 5} \right) + 1\).
Mà theo bài, \({x^2} - 4x + 1 = 0\) nên \(A = 0.\left( {{x^3} + {x^2} + 5} \right) + 1 = 1\).
Vậy \(A = 1\).
Hot: 1000+ Đề thi giữa kì 2 file word cấu trúc mới 2026 Toán, Văn, Anh... lớp 1-12 (chỉ từ 60k). Tải ngay
CÂU HỎI HOT CÙNG CHỦ ĐỀ
Lời giải

a) Xét \(\Delta ABD\) và \(\Delta EBD\), có:
\(\widehat {BAD} = \widehat {BED} = 90^\circ \);
\(BD\) là cạnh chung;
\(\widehat {ABD} = \widehat {EBD}\) (do \(BD\) là tia phân giác của \(\widehat B\)).
Do đó \(\Delta ABD = \Delta EBD\) (cạnh huyền – góc nhọn).
Suy ra \(BA = BE\) (hai cạnh tương ứng).
b) Xét \(\Delta BEM\) và \(\Delta BAC\), có:
\(\widehat {BEM} = \widehat {BAC} = 90^\circ \);
\(BA = BE\) (chứng minh câu a);
\(\widehat {ABE}\) là góc chung.
Do đó \(\Delta BEM = \Delta BAC\) (cạnh góc vuông – góc nhọn kề).
Suy ra \(\widehat {BME} = \widehat {BCA}\) (cặp góc tương ứng).
Mà \(\widehat {ADM}\) phụ với \[\widehat {BME}\]; \(\widehat {ABC}\) phụ với \(\widehat {BCA}\).
Do đó \(\widehat {ADM} = \widehat {ABC}\).
Lại có \(\widehat {BCA} < \widehat {ABC}\) (do \(AB < AC\)).
Suy ra \(\widehat {BME} = \widehat {BCA} < \widehat {ABC}\) hay \(\widehat {AMD} < \widehat {ADM}\).
Khi đó \(AD < AM\) (quan hệ giữa cạnh và góc trong tam giác).
Mà \(AM < DM\) (quan hệ giữa đường xiên và đường vuông góc).
Vậy trong \(\Delta ADM\), \(AD < AM < DM\).
c) \(\Delta MBC\) có \(CA\) và \(ME\) là hai đường cao cắt nhau tại \(D\).
Suy ra \(D\) là trực tâm của \(\Delta MBC\).
Do đó \(BD\) là đường cao thứ ba của \(\Delta MBC\) hay \(BD \bot MC\,\,\,\left( 1 \right)\)
Do \(\Delta BEM = \Delta BAC\) (câu b) nên \(BM = BC\) (hai cạnh tương ứng).
Suy ra \(B\) nằm trên đường trung trực của đoạn thẳng \(MC\).
Lại có \(K\) là trung điểm của \(MC\) nên \(K\) cũng nằm trên đường trung trực của đoạn thẳng \(MC\).
Khi đó \(BK\) là đường trung trực của đoạn thẳng \(MC\) nên \(BK \bot MC\,\,\,\left( 2 \right)\)
Từ \(\left( 1 \right)\) và \(\left( 2 \right)\) suy ra ba điểm \(B\), \(D\), \(K\) thẳng hàng.
Lời giải
Gọi \(x,y,z\) lần lượt là số công nhân tham gia làm việc của đội thứ nhất, đội thứ hai, đội thứ ba.
Số công nhân của đội thứ ba ít hơn số công nhân của đội thứ hai là 5 người nên \(y - z = 5\)
Với cùng một khối lượng công việc, số công nhân tham gia làm việc và thời gian hoàn thành công việc của mỗi đội là hai đại lượng tỉ lệ nghịch với nhau.
Do đó, ta có \(2x = 3y = 4z\)suy ra \(\frac{x}{{\frac{1}{2}}} = \frac{y}{{\frac{1}{3}}} = \frac{z}{{\frac{1}{4}}}\).
Áp dụng tính chất của dãy tỉ số bằng nhau, ta được:
\(\frac{x}{{\frac{1}{2}}} = \frac{y}{{\frac{1}{3}}} = \frac{z}{{\frac{1}{4}}} = \frac{{y - z}}{{\frac{1}{3} - \frac{1}{4}}} = \frac{5}{{\frac{1}{{12}}}} = 60\).
Từ đó suy ra \(x = 60.\frac{1}{2} = 30\), \(y = 60.\frac{1}{3} = 20\), \(z = 60.\frac{1}{4} = 15\).
Vậy số công nhân tham gia làm việc của đội thứ nhất, đội thứ hai, đội thứ ba lần lượt là 30 người, 20 người, 15 người.
Lời giải
Bạn cần đăng ký gói VIP ( giá chỉ từ 199K ) để làm bài, xem đáp án và lời giải chi tiết không giới hạn.
Lời giải
Bạn cần đăng ký gói VIP ( giá chỉ từ 199K ) để làm bài, xem đáp án và lời giải chi tiết không giới hạn.
Câu 5
\({2^2} - {3^3}\);
\(x - \frac{1}{y}\);
\({x^5} + y\);
Cả \(A,B,C\) đều đúng.
Lời giải
Bạn cần đăng ký gói VIP ( giá chỉ từ 199K ) để làm bài, xem đáp án và lời giải chi tiết không giới hạn.
Câu 6
A. \({x_1} = 12;{y_1} = 6\);
B. \({x_1} = - 12;{y_1} = - 6\);
C. \({x_1} = 12;{y_1} = - 6\);
D. \({x_1} = - 12;{y_1} = 6\).
Lời giải
Bạn cần đăng ký gói VIP ( giá chỉ từ 199K ) để làm bài, xem đáp án và lời giải chi tiết không giới hạn.
Lời giải
Bạn cần đăng ký gói VIP ( giá chỉ từ 199K ) để làm bài, xem đáp án và lời giải chi tiết không giới hạn.