Rút ngẫu nhiên một thẻ từ hộp đựng \[15\] thẻ được đánh số từ \[1\] đến \[15\]. Xác suất để số trên tấm thẻ được rút ra là số có hai chữ số là
A. \(\frac{1}{2}\);
B. \(\frac{1}{4}\);
C. \(\frac{1}{5}\);
D. \(\frac{2}{5}\).
Câu hỏi trong đề: Bộ 10 đề thi cuối kì 2 Toán 7 Chân trời sáng tạo có đáp án !!
Quảng cáo
Trả lời:
Đáp án đúng là: D
Rút ngẫu nhiên 1 thẻ trong hộp thì khả năng chọn được \[1\] trong \[15\] thẻ là bằng nhau.
Khi đó xác suất chọn được một trong các số \[1;2;3;4;5;6;7;8;9;10;11;12;13;14;15\] bằng nhau và bằng \(\frac{1}{{15}}\).
Biến cố: “Số rút được trên thẻ là số có hai chữ số”.
Các kết quả có khả năng xảy ra là \[10;11;12;13;14;15\].
Vậy xác suất của biến cố “Số rút được trên thẻ là số có hai chữ số” là \(6.\frac{1}{{15}} = \frac{2}{5}\).
Hot: 1000+ Đề thi giữa kì 2 file word cấu trúc mới 2026 Toán, Văn, Anh... lớp 1-12 (chỉ từ 60k). Tải ngay
CÂU HỎI HOT CÙNG CHỦ ĐỀ
Lời giải

a) Xét \(\Delta ABC\) vuông tại \(A\) có \(\widehat B = 60^\circ \)
Suy ra \(\widehat C = 90^\circ - \widehat B = 30^\circ \).
Do đó \(\widehat C < \widehat B\) nên \(AB < AC\) nên \(M\) nằm giữa \(H\) và \(C\)
Hay \(HM < HC\)
Mà \(HM = HB\), suy ra \(HB < HC\).
b) Xét \(\Delta AHB\) và \(\Delta AHM\) có:
\(\widehat {AHB} = \widehat {AHM} = 90^\circ \);
\(AH\) là cạnh chung;
\(HM = HB\) (giả thiết).
Do đó \(\Delta AHB = \Delta AHM\) (hai cạnh góc vuông)
Suy ra \(AB = AM\) (hai cạnh tương ứng)
\(\Delta ABM\) có \(AB = AM\) nên là tam giác cân tại \(A\).
Lại có \(\widehat B = 60^\circ \) (giả thiết) nên \(\Delta ABM\) là tam giác đều.
c) Do \(\Delta ABM\) là tam giác đều nên \(\widehat {MAB} = 60^\circ \).
Suy ra \(\widehat {MAC} = 90^\circ - \widehat {MAB} = 90^\circ - 60^\circ = 30^\circ \)
Tam giác \(MAC\) có \(\widehat {MAC} = \widehat {MCA} = 30^\circ \) nên là tam giác cân tại \(M\).
Suy ra \(MA = MC\).
Lại có \(MA = MB\) (do \(\Delta ABM\) đều)
Do đó \(MB = MC\) hay \(M\) là trung điểm của \(BC\).
Xét \(\Delta ABC\) có \(AM,BN\) là hai đường trung tuyến của tam giác cắt nhau tại \(O\) nên \(O\) là trọng tâm của tam giác.
Suy ra \(AO = \frac{2}{3}AM = \frac{2}{3}AB = \frac{2}{3}.6 = 4\,\,\left( {{\rm{cm}}} \right)\).
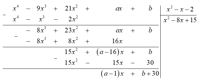
Lời giải
Ta thực hiện đặt tính chia đa thức như sau:

Do đó số dư của phép chia \(A\left( x \right)\) cho \(B\left( x \right)\) là \(\left( {a - 1} \right)x + b + 30\).
Để phép chia trên là phép chia hết thì \(\left( {a - 1} \right)x + b + 30 = 0\) với mọi \(x\)
Điều này xảy ra khi và chỉ khi \(\left\{ \begin{array}{l}a - 1 = 0\\b + 30 = 0\end{array} \right.\), suy ra \(\left\{ \begin{array}{l}a = 1\\b = - 30\end{array} \right.\).
Vậy \(a = 1\) và \(b = - 30\).
Câu 3
A. Ba đường trung tuyến;
B. Ba đường phân giác;
C. Ba đường cao;
D. Ba đường trung trực.
Lời giải
Bạn cần đăng ký gói VIP ( giá chỉ từ 199K ) để làm bài, xem đáp án và lời giải chi tiết không giới hạn.
Lời giải
Bạn cần đăng ký gói VIP ( giá chỉ từ 199K ) để làm bài, xem đáp án và lời giải chi tiết không giới hạn.
Câu 5
A. \(\frac{{ - 5}}{2} = \frac{{25}}{{ - 10}}\);
B. \(\frac{{ - 10}}{2} = \frac{{25}}{{ - 5}}\);
C. \(\frac{{25}}{{ - 5}} = \frac{2}{{ - 10}}\);
D. \(\frac{2}{{ - 10}} = \frac{{ - 5}}{{25}}\).
Lời giải
Bạn cần đăng ký gói VIP ( giá chỉ từ 199K ) để làm bài, xem đáp án và lời giải chi tiết không giới hạn.
Câu 6
\(2\sqrt {{x^2} - 1} + 4\);
\(0\);
\(\frac{4}{{a + b}}\);
\({m^2} + 2n + {n^2}\).
Lời giải
Bạn cần đăng ký gói VIP ( giá chỉ từ 199K ) để làm bài, xem đáp án và lời giải chi tiết không giới hạn.