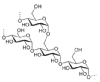
Trong cấu tạo của một đoạn mạch amylopectine sau có bao nhiêu liên kết α-1,6-glycoside?

Quảng cáo
Trả lời:
Đáp án:
1
Đáp án: 1
Hot: 1000+ Đề thi giữa kì 2 file word cấu trúc mới 2026 Toán, Văn, Anh... lớp 1-12 (chỉ từ 60k). Tải ngay
CÂU HỎI HOT CÙNG CHỦ ĐỀ
Lời giải
Đáp án: 4
Khi nung nóng đến 400°C, độ giảm khối lượng là 51,22%
Gọi công thức của muối là FeSO4.nH2O
Công thức của muối ở 400°C là MgSO4
Lời giải
Đáp án: 122
Fe2(SO4)3 + 3Ca(OH)2 → 2Fe(OH)3 + 3CaSO4
x (mol) 3x
4FeSO4 + 4Ca(OH)2 + O2 + 2H2O → 4Fe(OH)3 + 4CaSO4
8x (mol) 8x
Câu 3
A. Dehydrate hoá.
B. Trùng ngưng.
C. Ester hoá.
D. Hydrate hoá.
Lời giải
Bạn cần đăng ký gói VIP ( giá chỉ từ 199K ) để làm bài, xem đáp án và lời giải chi tiết không giới hạn.
Câu 4
+3105,6 kJ.
3105,6 kJ.
+2438,2 kJ.
2438,2 kJ.
Lời giải
Bạn cần đăng ký gói VIP ( giá chỉ từ 199K ) để làm bài, xem đáp án và lời giải chi tiết không giới hạn.
Lời giải
Bạn cần đăng ký gói VIP ( giá chỉ từ 199K ) để làm bài, xem đáp án và lời giải chi tiết không giới hạn.
Câu 6
a. Khi chuẩn độ, dung dịch KMnO4 được nhỏ trực tiếp vào bình tam giác từ dụng cụ kí hiệu là (B) được minh họa ở Hình 1.
b. Giá trị của q là 76,6. (Kết quả các phép tính trung gian không được làm tròn, chỉ kết quả cuối cùng được làm tròn đến hàng phần mười).
c. Giá trị của C2 là 0,003. (Kết quả các phép tính trung gian không được làm tròn, chỉ kết quả cuối cùng được làm tròn đến hàng phần nghìn).
d. Kết quả thu được từ các thí nghiệm phù hợp với giả thuyết ban đầu của nhóm học sinh.
Lời giải
Bạn cần đăng ký gói VIP ( giá chỉ từ 199K ) để làm bài, xem đáp án và lời giải chi tiết không giới hạn.
Câu 7
a. Phản ứng trên là phản ứng thủy phân các nhóm chức ester.
b. Phản ứng trên là phản ứng cắt mạch polymer.
c. Do có nhiều nhóm hydroxy nên PVA có khả năng tan được trong nước.
d. PVA là polyme tổng hợp thân thiện với môi trường.
Lời giải
Bạn cần đăng ký gói VIP ( giá chỉ từ 199K ) để làm bài, xem đáp án và lời giải chi tiết không giới hạn.



