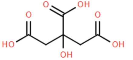
Chanh là một loài thực vật cho quả nhỏ, thuộc chi cam chanh (citrus), khi chín có màu xanh hoặc vàng, thịt quả có vị chua. Quả chanh được sử dụng làm thực phẩm – chủ yếu dùng nước ép của nó, phần múi và vỏ quả chanh cũng có thể dùng trong nấu ăn và nướng bánh. Nước ép chanh chứa khoảng 5% citric acid (X) nên chanh có vị chua và độ pH khoảng 2 – 3. Công thức (X) được cho ở hình bên.

Cho các phát biểu:
(1) Công thức phân tử của (X) là C6H8O7.
(2) (X) thuộc loại hợp chất tạp chức.
(3) 1mol (X) tác dụng với lượng dư Na tạo ra 2 mol H2
(4) (X) tác dụng với NaOH theo tỉ lệ mol 1 : 4.
(5) Có thể dùng (X) để khử mùi tanh của cá do một số amine gây ra.
Liệt kê các phát biểu đúng theo số thứ tự tăng dần.
Quảng cáo
Trả lời:
Đáp án:
1235
Đáp án: 1235
(1) Đúng
(2) Đúng
(3) Đúng
(4) Sai vì X có 3 nhóm COOH nên tác dụng với NaOH theo tỉ lệ 1:3
(5) Đúng
Hot: 1000+ Đề thi giữa kì 2 file word cấu trúc mới 2026 Toán, Văn, Anh... lớp 1-12 (chỉ từ 60k). Tải ngay
- 20 đề thi tốt nghiệp môn Hóa học (có đáp án chi tiết) ( 45.000₫ )
- Sổ tay Hóa học 12 (chương trình mới) ( 18.000₫ )
- Bộ đề thi tốt nghiệp 2025 các môn Toán, Lí, Hóa, Văn, Anh, Sinh, Sử, Địa, KTPL (có đáp án chi tiết) ( 36.000₫ )
- Tổng ôn lớp 12 môn Toán, Lí, Hóa, Văn, Anh, Sinh Sử, Địa, KTPL (Form 2025) ( 36.000₫ )
CÂU HỎI HOT CÙNG CHỦ ĐỀ
Lời giải
Đáp án: 4
Khi nung nóng đến 400°C, độ giảm khối lượng là 51,22%
Gọi công thức của muối là FeSO4.nH2O
Công thức của muối ở 400°C là MgSO4
Lời giải
Đáp án: 122
Fe2(SO4)3 + 3Ca(OH)2 → 2Fe(OH)3 + 3CaSO4
x (mol) 3x
4FeSO4 + 4Ca(OH)2 + O2 + 2H2O → 4Fe(OH)3 + 4CaSO4
8x (mol) 8x
Câu 3
A. Dehydrate hoá.
B. Trùng ngưng.
C. Ester hoá.
D. Hydrate hoá.
Lời giải
Bạn cần đăng ký gói VIP ( giá chỉ từ 199K ) để làm bài, xem đáp án và lời giải chi tiết không giới hạn.
Câu 4
+3105,6 kJ.
3105,6 kJ.
+2438,2 kJ.
2438,2 kJ.
Lời giải
Bạn cần đăng ký gói VIP ( giá chỉ từ 199K ) để làm bài, xem đáp án và lời giải chi tiết không giới hạn.
Lời giải
Bạn cần đăng ký gói VIP ( giá chỉ từ 199K ) để làm bài, xem đáp án và lời giải chi tiết không giới hạn.
Câu 6
a. Khi chuẩn độ, dung dịch KMnO4 được nhỏ trực tiếp vào bình tam giác từ dụng cụ kí hiệu là (B) được minh họa ở Hình 1.
b. Giá trị của q là 76,6. (Kết quả các phép tính trung gian không được làm tròn, chỉ kết quả cuối cùng được làm tròn đến hàng phần mười).
c. Giá trị của C2 là 0,003. (Kết quả các phép tính trung gian không được làm tròn, chỉ kết quả cuối cùng được làm tròn đến hàng phần nghìn).
d. Kết quả thu được từ các thí nghiệm phù hợp với giả thuyết ban đầu của nhóm học sinh.
Lời giải
Bạn cần đăng ký gói VIP ( giá chỉ từ 199K ) để làm bài, xem đáp án và lời giải chi tiết không giới hạn.
Câu 7
a. Phản ứng trên là phản ứng thủy phân các nhóm chức ester.
b. Phản ứng trên là phản ứng cắt mạch polymer.
c. Do có nhiều nhóm hydroxy nên PVA có khả năng tan được trong nước.
d. PVA là polyme tổng hợp thân thiện với môi trường.
Lời giải
Bạn cần đăng ký gói VIP ( giá chỉ từ 199K ) để làm bài, xem đáp án và lời giải chi tiết không giới hạn.



