(2,0 điểm) Cho hai đa thức: \(M\left( x \right) = 2{x^4} - 3{x^3} - x + 7{x^3} - 5x + 1\);
\(N\left( x \right) = - 2{x^3} + {x^2} + 3{x^4} + 5x - 2{x^4} - 6 + x\).
(a) Thu gọn và sắp xếp các đa thức trên theo lũy thừa giảm dần của biến.
(b) Xác định bậc và hệ số cao nhất của hai đa thức \(N\left( x \right)\).
(c) Tính \(8M\left( 1 \right) + N\left( { - 1} \right)\).
(d) Tìm đa thức \(Q\left( x \right)\) sao cho \(Q\left( x \right) = M\left( x \right) + N\left( x \right)\).
Tìm \(x\) để \(Q\left( x \right) = \left( {3x - 1} \right)\left( {{x^3} + {x^2}} \right) + {x^2} + 4\).
Câu hỏi trong đề: Bộ 10 đề thi cuối kì 2 Toán 7 Cánh diều có đáp án !!
Quảng cáo
Trả lời:
a) \(M\left( x \right) = 2{x^4} - 3{x^3} - x + 7{x^3} - 5x + 1\)
\[ = 2{x^4} + \left( { - 3{x^3} + 7{x^3}} \right) + \left( { - x - 5x} \right) + 1\]
\[ = 2{x^4} + 4{x^3} - 6x + 1\].
\(N\left( x \right) = - 2{x^3} + {x^2} + 3{x^4} + 5x - 2{x^4} - 6 + x\)
\( = \left( {3{x^4} - 2{x^4}} \right) - 2{x^3} + {x^2} + \left( {5x + x} \right) - 6\)
\( = {x^4} - 2{x^3} + {x^2} + 6x - 6\)
b) Đa thức \(N\left( x \right)\) có bậc là 4, hệ số cao nhất là 1.
c) Ta có \[M\left( 1 \right) = {2.1^4} + {4.1^3} - 6.1 + 1 = 1\].
\(N\left( { - 1} \right) = {\left( { - 1} \right)^4} - 2.{\left( { - 1} \right)^3} + {\left( { - 1} \right)^2} + 6.\left( { - 1} \right) - 6 = - 8\)
Do đó \(8M\left( 1 \right) + N\left( { - 1} \right) = 8.1 + \left( { - 8} \right) = 0\).
d) Ta có \(Q\left( x \right) = M\left( x \right) + N\left( x \right)\)
\(Q\left( x \right) = \left( {2{x^4} + 4{x^3} - 6x + 1} \right) + \left( {{x^4} - 2{x^3} + {x^2} + 6x - 6} \right)\)
\( = 2{x^4} + 4{x^3} - 6x + 1 + {x^4} - 2{x^3} + {x^2} + 6x - 6\)
\( = 3{x^4} + 2{x^3} + {x^2} - 5\).
Ta có \(Q\left( x \right) = 3{x^4} + 2{x^3} + 4\)
Suy ra \(3{x^4} + 2{x^3} + {x^2} - 5 = 3{x^4} + 2{x^3} + 4\)
\({x^2} = 9\)
\(x = 3\) hoặc \(x = - 3\).
Vậy \(x \in \left\{ { - 3;3} \right\}\) thì \(Q\left( x \right) = 3{x^4} + 2{x^3} + 4\).
Hot: 1000+ Đề thi giữa kì 2 file word cấu trúc mới 2026 Toán, Văn, Anh... lớp 1-12 (chỉ từ 60k). Tải ngay
CÂU HỎI HOT CÙNG CHỦ ĐỀ
Lời giải

a) Ta có \[AB = AC\] (do \(\Delta ABC\) cân tại \(A\)) và \[BD = CE\] (giả thiết)
Suy ra \(AB - BD = AC - CE\) hay \(AD = AE\).
Xét \(\Delta ABE\) và \(\Delta ACD\) có:
\[AB = AC\] (chứng minh trên);
\(\widehat {BAC}\) là góc chung;
\[AD = AE\] (chứng minh trên).
Do đó \[\Delta ABE = \Delta ACD\,\,\left( {{\rm{c}}{\rm{.g}}{\rm{.c}}} \right)\].
b) Từ \[\Delta ABE = \Delta ACD\] suy ra \(\widehat {ABE} = \widehat {ACD}\) (hai góc tương ứng)
Mà \(\widehat {ABC} = \widehat {ACB}\) (do \(\Delta ABC\) cân tại \(A\))
Suy ra \(\widehat {IBC} = \widehat {ICB}\)
Tam giác \[IBC\] có \(\widehat {IBC} = \widehat {ICB}\) nên là tam giác cân tại \(I\).
Do đó \[IB = IC\].
Xét \(\Delta ABI\) và \(\Delta ACI\) có:
\[AB = AC\] (chứng minh trên);
\[AI\] là cạnh chung;
\[IB = IC\] (chứng minh trên).
Do đó \[\Delta ABI = \Delta ACI\,\,\left( {{\rm{c}}{\rm{.c}}{\rm{.c}}} \right)\]
Suy ra \(\widehat {BAI} = \widehat {CAI}\) (hai góc tương ứng).
Nên \[AI\] là tia phân giác của \(\widehat {BAC}\).
c) Xét \(\Delta ADE\) có \[AD = AE\] nên \(\Delta ADE\) cân tại \(A\), do đó \(\widehat {ADE} = \widehat {AED}\).
Mà \(\widehat {DAE} + \widehat {ADE} + \widehat {AED} = 180^\circ \) (tổng ba góc trong một tam giác)
Suy ra \(\widehat {ADE} = \widehat {AED} = \frac{{180^\circ - \widehat {DAE}}}{2}\,\,\,\,\,\left( 1 \right)\).
Tương tự với \(\Delta ABC\) cân tại \(A\) ta có \(\widehat {ABC} = \widehat {ACB} = \frac{{180^\circ - \widehat {BAC}}}{2}\,\,\,\,\,\left( 2 \right)\)
Từ \(\left( 1 \right)\) và \(\left( 2 \right)\) suy ra \(\widehat {ADE} = \widehat {ABC}\)
Mà hai góc này ở vị trí đồng vị nên \(DE\,{\rm{//}}\,BC\).
Suy ra \(\widehat {DEB} = \widehat {EBC}\) (hai góc so le trong) \(\left( 3 \right)\)
\(\Delta BDE\) có \[BD = DE\] nên là tam giác cân tại \(D\), suy ra \(\widehat {DBE} = \widehat {DEB}\,\,\,\,\,\left( 4 \right)\)
Từ \(\left( 3 \right)\) và \(\left( 4 \right)\) suy ra \(\widehat {DBE} = \widehat {EBC}\)
Khi đó \[BE\] là đường phân giác của \(\widehat {ABC}\).
Tương tự, với \[DE = EC\] ta cũng chứng minh được \[CD\] là đường phân giác của \(\widehat {ACB}\)
Xét \(\Delta ABC\) có \[BE,CD\] là hai đường phân giác của tam giác cắt nhau tại \(I\).
Suy ra \(I\) cách đều ba cạnh của \(\Delta ABC\).
Vậy để \[BD = DE = EC\] thì \[BE\] và \[CD\] là hai đường phân giác của \(\Delta ABC\), khi đó \(I\) cách đều ba cạnh của \(\Delta ABC\).
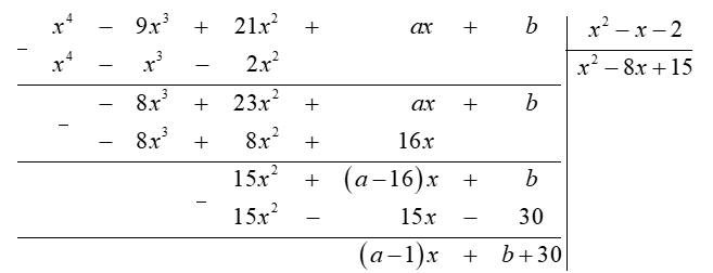
Lời giải
Ta thực hiện đặt tính chia đa thức như sau:

Do đó số dư của phép chia \(A\left( x \right)\) cho \(B\left( x \right)\) là \(\left( {a - 1} \right)x + b + 30\).
Để phép chia trên là phép chia hết thì \(\left( {a - 1} \right)x + b + 30 = 0\) với mọi \(x\)
Điều này xảy ra khi và chỉ khi \(\left\{ \begin{array}{l}a - 1 = 0\\b + 30 = 0\end{array} \right.\), suy ra \(\left\{ \begin{array}{l}a = 1\\b = - 30\end{array} \right.\).
Vậy \(a = 1\) và \(b = - 30\).
Câu 3
Lời giải
Bạn cần đăng ký gói VIP ( giá chỉ từ 199K ) để làm bài, xem đáp án và lời giải chi tiết không giới hạn.
Câu 4
\(22{x^{23}} - 24xy\);
\(22{y^3} - 12y\);
\( - 24{z^2}\);
\(16x - 7\).
Lời giải
Bạn cần đăng ký gói VIP ( giá chỉ từ 199K ) để làm bài, xem đáp án và lời giải chi tiết không giới hạn.
Lời giải
Bạn cần đăng ký gói VIP ( giá chỉ từ 199K ) để làm bài, xem đáp án và lời giải chi tiết không giới hạn.
Câu 6
A. \(AB + BC > AC\);
B. \(BC - AB < AC\);TN7.12
C. \(BC - AB < AC < BC + AB\);
Lời giải
Bạn cần đăng ký gói VIP ( giá chỉ từ 199K ) để làm bài, xem đáp án và lời giải chi tiết không giới hạn.
