(0,5 điểm) Tìm số \(m\) sao cho đa thức \({x^5} - 2{x^4} + {x^3} - 12x + m\) chia hết cho đa thức \({x^2} + 4\).
Câu hỏi trong đề: Bộ 10 đề thi cuối kì 2 Toán 7 Cánh diều có đáp án !!
Quảng cáo
Trả lời:
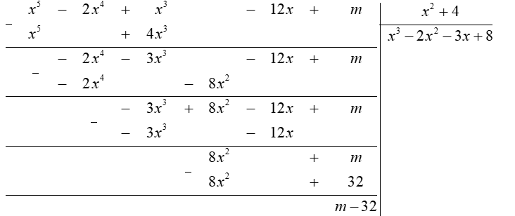
Ta thực hiện đặt tính chia đa thức như sau:

Để đa thức \({x^5} - 2{x^4} + {x^3} + 12x + m\) chia hết cho đa thức \({x^2} + 4\) thì \(m - 32 = 0\).
Suy ra \(m = 32\).
Vậy \(m = 32\) thỏa mãn yêu cầu bài toán.
Hot: 1000+ Đề thi cuối kì 2 file word cấu trúc mới 2026 Toán, Văn, Anh... lớp 1-12 (chỉ từ 60k). Tải ngay
CÂU HỎI HOT CÙNG CHỦ ĐỀ
Lời giải

a) Do \(\Delta ABC\) vuông tại \(A\) nên \(CA \bot BD\).
Mà \(AD = AB\) nên \(A\) là trung điểm của \(BD\)
Ta có \(CA \bot BD\) tại trung điểm \[A\] của \(BD\) nên \(CA\) là đường trung trực của đoạn thẳng \(BD\).
Suy ra \[CB = CD\] nên \[\Delta BCD\] là tam giác cân tại \(C\).
b) Do \(BC\,{\rm{//}}\,DE\) nên \[\widehat {BCM} = \widehat {EDM}\](so le trong).
Xét \[\Delta BMC\]và \[\Delta EMD\] có:
\[\widehat {BMC} = \widehat {EMD}\] (đối đỉnh);
\[MD = MC\](giả thiết);
\[\widehat {BCM} = \widehat {EDM}\] (chứng minh trên).
Do đó \[\Delta BMC = \Delta EMD\,\,\,\left( {{\rm{g}}{\rm{.c}}{\rm{.g}}} \right)\]
Suy ra \[BC = ED\] (hai cạnh tương ứng).
Ta có \[BC + BD = BD + DE > BE\] (bất đẳng thức trong tam giác \(BDE\)).
d) Xét \(\Delta BDE\) có \[A\]là trung điểm \[BD\]; \[M\] là trung điểm \[BE\]
Suy ra \(G\) là trọng tâm \(\Delta BDE\)
Suy ra \[DM = 3GM\].
Do đó \[DC = 2DM = 6GM\].
Lời giải
Tập hợp các kết quả có thể xảy ra đối với số được viết ra là:
\(M = \left\{ {10;11;12;...;98;99} \right\}\). Tập hợp \(M\) có \[99 - 10 + 1 = 90\] phần tử.
a) Tập hợp các kết quả thuận lợi cho biến cố \(A\) là: \(A = \left\{ {10;11;12;...;28;29;30} \right\}\).
Tập hợp các kết quả thuận lợi cho biến cố \(B\) là: \(B = \left\{ {18;36;54;72;90} \right\}\).
b) Có \(30 - 10 + 1 = 21\) kết quả thuận lợi cho biến cố \(A\) nên xác suất của biến cố \(A\) là \(\frac{{21}}{{90}} = \frac{7}{{30}}\).
Có \(5\) kết quả thuận lợi cho biến cố \(B\) nên xác suất của biến cố \(B\) là \(\frac{5}{{90}} = \frac{1}{{18}}\).
Lời giải
Bạn cần đăng ký gói VIP ( giá chỉ từ 250K ) để làm bài, xem đáp án và lời giải chi tiết không giới hạn.
Câu 4
Đa thức \(A\left( x \right) = 2x - {x^2} + 3x + 2 + {x^2}\) sau khi thu gọn sẽ có bao nhiêu hạng tử?
A. \(1\);
B. \(2\);
C. \(3\);
D. \(5\).
Lời giải
Bạn cần đăng ký gói VIP ( giá chỉ từ 250K ) để làm bài, xem đáp án và lời giải chi tiết không giới hạn.
Lời giải
Bạn cần đăng ký gói VIP ( giá chỉ từ 250K ) để làm bài, xem đáp án và lời giải chi tiết không giới hạn.
Câu 6
\(3\,\,{\rm{cm}}\);
\[5\,\,{\rm{cm}}\];
\(6\,\,{\rm{cm}}\);
\(8\,\,{\rm{cm}}\).
Lời giải
Bạn cần đăng ký gói VIP ( giá chỉ từ 250K ) để làm bài, xem đáp án và lời giải chi tiết không giới hạn.

