Tìm các số thực a, b thỏa mãn 
Quảng cáo
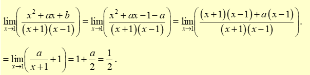
Trả lời:
Đáp án A
Ta có:
Nên để thì \(\left( {{x^2} + ax + b} \right) \vdots \left( {x - 1} \right)\) để không còn dạng vô định.
Vì thế \(x = 1\) là nghiệm của \({x^2} + ax + b\).
\( \Leftrightarrow {1^2} + a + b = 0 \Leftrightarrow b = - 1 - a\).
Có:

\( \Rightarrow a = - 1 \Rightarrow b = 0\).
Hot: 1000+ Đề thi giữa kì 2 file word cấu trúc mới 2026 Toán, Văn, Anh... lớp 1-12 (chỉ từ 60k). Tải ngay
- Tuyển tập 30 đề thi đánh giá năng lực Đại học Quốc gia Hà Nội 2025 (Tập 1) ( 39.000₫ )
- Tuyển tập 15 đề thi Đánh giá tư duy Đại học Bách Khoa Hà Nội 2025 (Tập 1) ( 39.000₫ )
- Tuyển tập 30 đề thi đánh giá năng lực Đại học Quốc gia TP Hồ Chí Minh (2 cuốn) ( 140.000₫ )
- Tuyển tập 30 đề thi đánh giá năng lực Đại học Quốc gia Hà Nội, TP Hồ Chí Minh (2 cuốn) ( 150.000₫ )
CÂU HỎI HOT CÙNG CHỦ ĐỀ
Câu 1
Lời giải
Đáp án B
Hướng dẫn giải
- A sai. Công nghệ ANC là một điểm mạnh của cả Redmi Buds 6 tiêu chuẩn và phiên bản Pro. Cả hai đều có khả năng giảm tiếng ồn hiệu quả, nhưng đây không phải là điểm vượt trội của phiên bản Pro.
- C sai. Thời lượng pin dài (42 giờ khi dùng với hộp sạc) là đặc điểm chung của cả hai phiên bản. Điều này không phải là yếu tố tạo nên sự khác biệt của phiên bản Pro.
- D sai. Thời lượng sử dụng liên tục 10 giờ cũng là một tính năng chung của cả hai phiên bản, không riêng gì Redmi Buds 6 Pro.
- B đúng.
+ Điểm nổi bật riêng biệt và vượt trội nhất của Redmi Buds 6 Pro so với phiên bản tiêu chuẩn là hệ thống 3 driver đồng trục.
+ Đây là công nghệ âm thanh cao cấp, thường chỉ có trên các dòng tai nghe cao cấp, giúp nâng tầm trải nghiệm âm thanh so với phiên bản tiêu chuẩn.
Thông tin thêm:
1. Giới thiệu hệ thống 3 driver đồng trục:
Hệ thống 3 driver đồng trục là một công nghệ âm thanh tiên tiến trong lĩnh vực tai nghe, giúp:
Phân tách âm thanh theo dải tần số:
Driver cho âm bass: Tạo ra âm trầm sâu và mạnh mẽ, lý tưởng cho các bản nhạc giàu năng lượng.
Driver cho âm mid: Đảm bảo giọng hát và nhạc cụ trung tâm được tái tạo chính xác và tự nhiên.
Driver cho âm treble: Xử lý các tần số cao, giúp âm thanh trở nên sáng và chi tiết hơn.
Tích hợp đồng trục: Các driver được sắp xếp trên cùng một trục, đảm bảo sự đồng bộ và cân bằng giữa các dải âm, giảm thiểu hiện tượng méo tiếng.
Ưu điểm:
Âm thanh trở nên sống động và chi tiết, tái tạo tốt từng lớp âm nhạc.
Mang đến trải nghiệm nghe chuyên nghiệp, phù hợp với người yêu nhạc và các nội dung giải trí chất lượng cao.
2. Điểm vượt trội của Redmi Buds 6 Pro:
So với phiên bản tiêu chuẩn (Redmi Buds 6):
Phiên bản tiêu chuẩn không được trang bị hệ thống 3 driver đồng trục, vì vậy chất lượng âm thanh chỉ dừng lại ở mức cân bằng cơ bản.
Redmi Buds 6 Pro vượt trội khi cung cấp âm thanh có chiều sâu, tái tạo âm sắc trung thực và trải nghiệm nghe giàu cảm xúc hơn.
Ứng dụng thực tế:
Phù hợp với người nghe nhạc có yêu cầu cao, từ các bản giao hưởng phức tạp đến các bài hát hiện đại giàu năng lượng.
Lý tưởng cho các tình huống cần âm thanh chi tiết như xem phim, chơi game hoặc họp trực tuyến.
Câu 2
Lời giải
Đáp án C
Hướng dẫn giải
Đoạn văn tập trung vào tác động của tiến bộ công nghệ đối với tương lai của công việc.
Bản dịch đoạn văn: Sự tiến bộ nhanh chóng của công nghệ đã mang lại những thay đổi đáng kể trong cách chúng ta làm việc và sinh sống. Tự động hóa, trí tuệ nhân tạo và internet vạn vật đang thay đổi các ngành công nghiệp, tự động hóa các nhiệm vụ và tạo ra các cơ hội việc làm mới. Mặc dù những tiến bộ này mang lại hiệu quả và năng suất cao hơn, nhưng chúng cũng làm dấy lên lo ngại về tương lai của công việc và khả năng mất việc làm. Khi máy móc ngày càng có khả năng thực hiện các nhiệm vụ trước đây do con người thực hiện, người lao động cần phải thích ứng và có được các kỹ năng mới để duy trì khả năng cạnh tranh trong thị trường việc làm đang phát triển. Học tập suốt đời, đào tạo lại kỹ năng và nâng cao kỹ năng đang trở nên cần thiết để điều hướng những thách thức và cơ hội của thời đại kỹ thuật số. Chính phủ, các tổ chức giáo dục và doanh nghiệp đều có vai trò hỗ trợ các cá nhân trong quá trình chuyển đổi này. Bằng cách nắm bắt sự thay đổi và đầu tư vào nguồn nhân lực, chúng ta có thể khai thác hết tiềm năng của công nghệ đồng thời đảm bảo một tương lai thịnh vượng cho tất cả mọi người.
Câu 3
Lời giải
Bạn cần đăng ký gói VIP ( giá chỉ từ 199K ) để làm bài, xem đáp án và lời giải chi tiết không giới hạn.
Câu 4
A. Truyện kinh dị.
B. Truyện khoa học viễn tưởng.
Lời giải
Bạn cần đăng ký gói VIP ( giá chỉ từ 199K ) để làm bài, xem đáp án và lời giải chi tiết không giới hạn.
Câu 5
Lời giải
Bạn cần đăng ký gói VIP ( giá chỉ từ 199K ) để làm bài, xem đáp án và lời giải chi tiết không giới hạn.
Lời giải
Bạn cần đăng ký gói VIP ( giá chỉ từ 199K ) để làm bài, xem đáp án và lời giải chi tiết không giới hạn.
Lời giải
Bạn cần đăng ký gói VIP ( giá chỉ từ 199K ) để làm bài, xem đáp án và lời giải chi tiết không giới hạn.