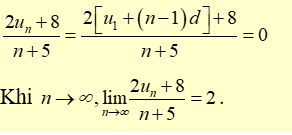
Cho cấp số cộng \({u_n}\) xác định bởi \({u_2} + {u_7} = 10\) và \({u_3} + {u_9} = 13\).
Tính 
Quảng cáo
Trả lời:
Đáp án B

Hot: 1000+ Đề thi giữa kì 2 file word cấu trúc mới 2026 Toán, Văn, Anh... lớp 1-12 (chỉ từ 60k). Tải ngay
- Tuyển tập 30 đề thi đánh giá năng lực Đại học Quốc gia TP Hồ Chí Minh (2 cuốn) ( 140.000₫ )
- Tuyển tập 15 đề thi Đánh giá tư duy Đại học Bách Khoa Hà Nội 2025 (Tập 1) ( 39.000₫ )
- Tuyển tập 30 đề thi đánh giá năng lực Đại học Quốc gia Hà Nội 2025 (Tập 1) ( 39.000₫ )
- Tuyển tập 30 đề thi đánh giá năng lực Đại học Quốc gia Hà Nội, TP Hồ Chí Minh (2 cuốn) ( 150.000₫ )
CÂU HỎI HOT CÙNG CHỦ ĐỀ
Câu 1
Lời giải
Đáp án C
Hướng dẫn giải
Đoạn văn thảo luận về những phức tạp và thách thức của toàn cầu hóa.
Bản dịch đoạn văn: Toàn cầu hóa, sự kết nối ngày càng tăng giữa các quốc gia thông qua thương mại, công nghệ và trao đổi văn hóa, đã định hình sâu sắc thế giới hiện đại. Mặc dù toàn cầu hóa mang lại nhiều lợi ích, chẳng hạn như tăng trưởng kinh tế, tiếp cận các thị trường mới và trao đổi văn hóa, nhưng nó cũng đặt ra những thách thức. Những lo ngại về mất việc làm, bất bình đẳng kinh tế và mất bản sắc văn hóa đã dẫn đến các cuộc tranh luận về tác động thực sự của toàn cầu hóa. Hơn nữa, sự lan truyền nhanh chóng của thông tin và ý tưởng đôi khi có thể làm trầm trọng thêm căng thẳng xã hội và chính trị. Việc điều hướng những phức tạp của toàn cầu hóa đòi hỏi sự hợp tác quốc tế, các chính sách kinh tế có trách nhiệm và cam kết về công bằng xã hội. Việc tìm kiếm sự cân bằng giữa việc nắm bắt các cơ hội của toàn cầu hóa và giảm thiểu các hậu quả tiêu cực tiềm ẩn của nó là rất quan trọng để tạo ra một thế giới công bằng và bền vững hơn.
Câu 2
Lời giải
Đáp án D
Hướng dẫn giải
Đoạn văn tập trung vào tác động và ý nghĩa của trí tuệ nhân tạo.
Bản dịch đoạn văn: Sự trỗi dậy của trí tuệ nhân tạo (AI) đang biến đổi nhiều ngành công nghiệp và các khía cạnh của cuộc sống hàng ngày. Từ ô tô tự lái đến các đề xuất được cá nhân hóa, AI đang nhanh chóng thay đổi cách chúng ta sống, làm việc và tương tác với thế giới xung quanh. Mặc dù AI mang lại những lợi ích tiềm năng to lớn, chẳng hạn như tăng hiệu quả, cải thiện chăm sóc sức khỏe và nâng cao an toàn, nhưng nó cũng làm dấy lên những lo ngại về đạo đức và xã hội. Các vấn đề như mất việc làm, thiên kiến thuật toán và quyền riêng tư dữ liệu cần được xem xét cẩn thận khi AI tiếp tục phát triển. Việc cân bằng giữa việc khai thác sức mạnh của AI và giảm thiểu các rủi ro tiềm ẩn của nó là rất quan trọng để đảm bảo một tương lai tích cực cho nhân loại.
Câu 3
Lời giải
Bạn cần đăng ký gói VIP ( giá chỉ từ 199K ) để làm bài, xem đáp án và lời giải chi tiết không giới hạn.
Lời giải
Bạn cần đăng ký gói VIP ( giá chỉ từ 199K ) để làm bài, xem đáp án và lời giải chi tiết không giới hạn.
Câu 5
Lời giải
Bạn cần đăng ký gói VIP ( giá chỉ từ 199K ) để làm bài, xem đáp án và lời giải chi tiết không giới hạn.
Lời giải
Bạn cần đăng ký gói VIP ( giá chỉ từ 199K ) để làm bài, xem đáp án và lời giải chi tiết không giới hạn.
Câu 7
Lời giải
Bạn cần đăng ký gói VIP ( giá chỉ từ 199K ) để làm bài, xem đáp án và lời giải chi tiết không giới hạn.