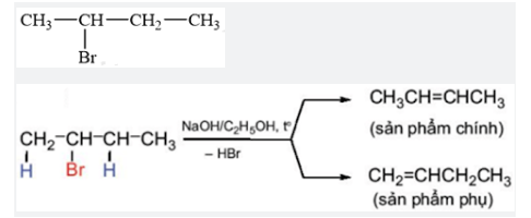
Z là dẫn xuất monohalogen của alkane, có khối lượng mol phân tử là 137 g/mol. Nguyên tử halogen X trong Z liên kết với nguyên tử C bậc II. Cho các phát biểu
(1) Phân tử Z chứa một nguyên tử C liên kết với các nguyên tử và nhóm nguyên tử khác nhau.
(2) Z tách HX tạo ra hai alkene đồng phân cấu tạo.
(3) Z tách HX tạo ra hai alkene đồng phân hình học.
Phát biểu đúng trong các phát biểu trên là
Z là dẫn xuất monohalogen của alkane, có khối lượng mol phân tử là 137 g/mol. Nguyên tử halogen X trong Z liên kết với nguyên tử C bậc II. Cho các phát biểu
(1) Phân tử Z chứa một nguyên tử C liên kết với các nguyên tử và nhóm nguyên tử khác nhau.
(2) Z tách HX tạo ra hai alkene đồng phân cấu tạo.
(3) Z tách HX tạo ra hai alkene đồng phân hình học.
Phát biểu đúng trong các phát biểu trên là
A. Cả (1), (2) và (3).
B. Chỉ (1) và (2).
C. Chỉ (2) và (3).
Quảng cáo
Trả lời:
Phương pháp giải
Dựa vào lí thuyết về dẫn xuất halogen.
Giải chi tiết
CTPT của Z là C4H9Br
Vì nguyên tử halogen X trong Z liên kết với nguyên tử C bậc II
⟹ CTCT của Z là

(1), (2), (3) đúng.
Đáp án cần chọn là: A
Hot: 1000+ Đề thi cuối kì 2 file word cấu trúc mới 2026 Toán, Văn, Anh... lớp 1-12 (chỉ từ 60k). Tải ngay
CÂU HỎI HOT CÙNG CHỦ ĐỀ
Câu 1
A. Kêu gọi toàn dân tham gia vào Mặt trận dân tộc.
B. Nghiêm cấm mọi hoạt động tín ngưỡng, tôn giáo.
C. Đề ra chủ trương chính sách hoạt động tôn giáo.
Lời giải
Phương pháp giải: Suy luận.
Giải chi tiết: Nội dung phản ánh đúng quan điểm của Đảng và Nhà nước Việt Nam trong công tác dân tộc và chính sách dân tộc đó là Đề ra chủ trương chính sách phù hợp từng thời kỳ.
Đáp án cần chọn là: D
Lời giải
Giải chi tiết:
\[\int_{\frac{\pi }{4}}^{\frac{\pi }{3}} {{{(3\tan x + 2\cot x)}^2}} dx = \int_{\frac{\pi }{4}}^{\frac{\pi }{3}} {} (9{\tan ^2}x + 12 + 4{\cot ^2}x){\mkern 1mu} dx\]
\[ = \int_{\frac{\pi }{4}}^{\frac{\pi }{3}} {(9{{\tan }^2}x + 9)} {\mkern 1mu} dx + \int_{\frac{\pi }{4}}^{\frac{\pi }{3}} {(4 + 4{{\cot }^2}x)} {\mkern 1mu} dx - \int_{\frac{\pi }{4}}^{\frac{\pi }{3}} d x\]
\[ = 9\int_{\frac{\pi }{4}}^{\frac{\pi }{3}} {\frac{1}{{{{\cos }^2}x}}} {\mkern 1mu} dx - 4\int_{\frac{\pi }{4}}^{\frac{\pi }{3}} {\frac{1}{{{{\sin }^2}x}}} {\mkern 1mu} dx - \int_{\frac{\pi }{4}}^{\frac{\pi }{3}} d x\]
\[ = 9\left( {\tan \frac{\pi }{3} - \tan \frac{\pi }{4}} \right) - 4\left( {\cot \frac{\pi }{3} - \cot \frac{\pi }{4}} \right) - \left( {\frac{\pi }{3} - \frac{\pi }{4}} \right)\]
\[ = 9(\sqrt 3 - 1) - 4\left( {\frac{{\sqrt 3 }}{3} - 1} \right) - \left( {\frac{\pi }{3} - \frac{\pi }{4}} \right)\]
\[ = - 5 + 23\frac{{\sqrt 3 }}{3} - \frac{\pi }{{12}}\]
Suy ra: \[a = - 5,\,\,b = 23,\,\,c = - 1.\]
\[T = a + b + c = - 5 + 23 - 1 = 17.\]
Câu 3
A. áp dụng công nghệ, giao đất giao rừng.
B. bảo vệ rừng, gắn với hoạt động dịch vụ.
C. chú trọng lâm sinh, đẩy mạnh chế biến.
Lời giải
Bạn cần đăng ký gói VIP ( giá chỉ từ 250K ) để làm bài, xem đáp án và lời giải chi tiết không giới hạn.
Câu 4
A. Tự nhiện - sinh học.
B. Chính sách dân số.
C. Phong tục tập quán.
Lời giải
Bạn cần đăng ký gói VIP ( giá chỉ từ 250K ) để làm bài, xem đáp án và lời giải chi tiết không giới hạn.
Lời giải
Bạn cần đăng ký gói VIP ( giá chỉ từ 250K ) để làm bài, xem đáp án và lời giải chi tiết không giới hạn.
Câu 6
A. Đặc điểm chung và đường lối riêng về trình độ phát triển kinh tế - xã hội.
B. Đặc điểm và đường lối riêng biệt về trình độ phát triển kinh tế - xã hội.
C. Đường lối chung và đặc điểm riêng về trình độ phát triển kinh tế - xã hội.
Lời giải
Bạn cần đăng ký gói VIP ( giá chỉ từ 250K ) để làm bài, xem đáp án và lời giải chi tiết không giới hạn.
Câu 7
A. \(2,53{\rm{m}}.\)
B. \(2,57{\rm{m}}.\)
C. \(2,94{\rm{m}}.\)
Lời giải
Bạn cần đăng ký gói VIP ( giá chỉ từ 250K ) để làm bài, xem đáp án và lời giải chi tiết không giới hạn.
