Quảng cáo
Trả lời:
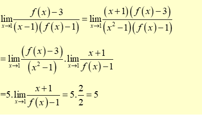
Đáp án A
Đặt \(g\left( x \right) = \frac{{f\left( x \right) - 3}}{{{x^2} - 1}}\), vậy .
Ta có:
\(f\left( x \right) = g\left( x \right).\left( {{x^2} - 1} \right) + 3\)


Hot: 1000+ Đề thi giữa kì 2 file word cấu trúc mới 2026 Toán, Văn, Anh... lớp 1-12 (chỉ từ 60k). Tải ngay
- Tuyển tập 30 đề thi đánh giá năng lực Đại học Quốc gia Hà Nội 2025 (Tập 1) ( 39.000₫ )
- Tuyển tập 15 đề thi Đánh giá tư duy Đại học Bách Khoa Hà Nội 2025 (Tập 1) ( 39.000₫ )
- Tuyển tập 30 đề thi đánh giá năng lực Đại học Quốc gia TP Hồ Chí Minh (2 cuốn) ( 140.000₫ )
- Tuyển tập 30 đề thi đánh giá năng lực Đại học Quốc gia Hà Nội, TP Hồ Chí Minh (2 cuốn) ( 150.000₫ )
CÂU HỎI HOT CÙNG CHỦ ĐỀ
Câu 1
Lời giải
Đáp án C
Hướng dẫn giải
The best title of the passage can be _____. (Tiêu đề phù hợp nhất cho đoạn văn là gì?)
Giải thích: Chọn đáp án C. A New Era in Sustainable Transportation vì bài đọc tập trung vào sự chuyển đổi sang xe điện và tầm quan trọng của chúng trong việc thúc đẩy giao thông bền vững.
A. The Transition from ICE Vehicles to EVs (Sự chuyển đổi từ xe ICE sang EVs): Sai vì tiêu đề này chỉ tập trung vào quá trình chuyển đổi, không bao quát toàn bộ nội dung.
B. Overcoming the Barriers of EV Technology (Vượt qua rào cản công nghệ EV): Sai vì bài đọc không chỉ tập trung vào những rào cản.
D. The Role of Governments in EV Development (Vai trò của chính phủ trong phát triển EV): Sai vì vai trò của chính phủ chỉ là một phần nhỏ trong bài.
Dịch đoạn văn 53-60
1. Ngành giao thông vận tải đang trải qua một sự chuyển đổi lớn với sự phổ biến ngày càng tăng của xe điện (EV). Không giống như các xe sử dụng động cơ đốt trong (ICE) truyền thống, xe điện được vận hành bằng điện, làm cho chúng thân thiện với môi trường hơn. Bằng cách sử dụng pin có thể sạc lại thay vì nhiên liệu hóa thạch, xe điện không tạo ra khí thải từ ống xả, giảm ô nhiễm không khí và lượng khí nhà kính.
2. Chính phủ và các nhà sản xuất trên toàn thế giới đang tích cực thúc đẩy việc sử dụng xe điện. Các khoản trợ cấp, ưu đãi thuế và đầu tư vào cơ sở hạ tầng sạc đã khuyến khích nhiều người tiêu dùng chuyển sang xe điện. Ngoài ra, các tiến bộ công nghệ đã cải thiện hiệu suất pin và giảm chi phí, làm cho xe điện trở nên dễ tiếp cận hơn với công chúng.
3. Mặc dù có nhiều lợi ích, xe điện vẫn đối mặt với một số thách thức. Sự hạn chế của trạm sạc ở khu vực nông thôn và vùng sâu vùng xa vẫn là một rào cản đáng kể. Hơn nữa, tác động môi trường từ việc khai thác các vật liệu như lithium và cobalt, được sử dụng trong pin xe điện, làm dấy lên những lo ngại về tính bền vững.
4. Các nhà sản xuất ô tô đang giải quyết những vấn đề này bằng cách phát triển công nghệ sạc nhanh hơn và khám phá các giải pháp thay thế cho vật liệu pin hiện tại. Ví dụ, pin thể rắn hứa hẹn cải thiện mật độ năng lượng, giảm thời gian sạc và nâng cao độ an toàn tổng thể.
5. Sự chuyển đổi sang xe điện cũng đang thay đổi các ngành công nghiệp ngoài giao thông vận tải. Ngành năng lượng đang thích nghi với nhu cầu điện tăng, trong khi các nhà quy hoạch đô thị đang tích hợp mạng lưới sạc vào cơ sở hạ tầng đô thị. Quá trình chuyển đổi này đại diện cho một bước tiến đến một tương lai sạch hơn và bền vững hơn.
6. Nhận thức của công chúng về xe điện cũng đang thay đổi. Từng được xem là đắt đỏ và không thực tế, xe điện giờ đây được coi là một sự thay thế khả thi cho xe ICE. Nhận thức ngày càng tăng về các vấn đề môi trường cũng đã góp phần vào sự phổ biến ngày càng cao của xe điện.
7. Mặc dù vẫn còn những thách thức, nhưng tiến bộ trong công nghệ và việc sử dụng xe điện cho thấy một tương lai đầy hứa hẹn cho giao thông bền vững. Với sự đổi mới và hỗ trợ liên tục, xe điện có thể trở thành phương tiện giao thông chủ đạo trong những thập kỷ tới.
Câu 2
A. Việc đi giày tạo ra sự cố định, khiến cơ bàn chân không có cơ hội hoạt động mạnh mẽ và linh hoạt.
Lời giải
Đáp án A
Hướng dẫn giải
- A. Việc đi giày tạo ra sự cố định, khiến cơ bàn chân không có cơ hội hoạt động mạnh mẽ và linh hoạt: Đáp án này đúng, vì Tiến sĩ Robert Conenello giải thích rằng khi đi giày, bàn chân ở vị trí cố định, làm suy yếu các cơ ở bàn chân vì không có cơ hội hoạt động linh hoạt. Việc đi giày lâu dài có thể hạn chế sự vận động của các cơ ở bàn chân, từ đó dẫn đến yếu cơ. Đây là cơ chế giải thích sự thay đổi trong chức năng của các cơ khi bị cố định.
- B. Giày tạo áp lực lên cơ bàn chân, làm giảm khả năng thăng bằng và giảm thiểu sự vận động: Mặc dù giày có thể tạo áp lực lên cơ, nhưng cơ chế chính là sự cố định khiến các cơ không thể hoạt động đúng cách, không phải giảm khả năng thăng bằng.
- C. Đi giày làm cơ bàn chân chịu nhiều lực và căng cơ, dẫn đến suy yếu: Đây không phải là lý do chính. Việc đi giày không làm cơ bàn chân căng ra mà là sự hạn chế vận động.
- D. Việc đi giày chỉ đơn giản là hạn chế sự di chuyển của các ngón chân, không ảnh hưởng đến cơ bàn chân: Hạn chế di chuyển ngón chân là một yếu tố, nhưng không đủ để giải thích việc suy yếu cơ bàn chân.
Suy luận câu trả lời đúng: Đáp án A là chính xác, vì đây là cơ chế chính mà Tiến sĩ Conenello đưa ra trong đoạn văn.
Câu 3
Lời giải
Bạn cần đăng ký gói VIP ( giá chỉ từ 199K ) để làm bài, xem đáp án và lời giải chi tiết không giới hạn.
Câu 4
Lời giải
Bạn cần đăng ký gói VIP ( giá chỉ từ 199K ) để làm bài, xem đáp án và lời giải chi tiết không giới hạn.
Câu 5
Lời giải
Bạn cần đăng ký gói VIP ( giá chỉ từ 199K ) để làm bài, xem đáp án và lời giải chi tiết không giới hạn.
Câu 6
C. Quy định thể lệ về cuộc Tổng tuyển cử.
Lời giải
Bạn cần đăng ký gói VIP ( giá chỉ từ 199K ) để làm bài, xem đáp án và lời giải chi tiết không giới hạn.
Lời giải
Bạn cần đăng ký gói VIP ( giá chỉ từ 199K ) để làm bài, xem đáp án và lời giải chi tiết không giới hạn.
