Đường tròn ngoại tiếp tam giác đều cạnh \(a\) có bán kính bằng
Quảng cáo
Trả lời:
Hướng dẫn giải
Đáp án đúng là: B

Đường tròn ngoại tiếp tam giác đều cạnh \(a\) có bán kính bằng \(\frac{{a\sqrt 3 }}{3}\).
Hot: 1000+ Đề thi cuối kì 2 file word cấu trúc mới 2026 Toán, Văn, Anh... lớp 1-12 (chỉ từ 60k). Tải ngay
CÂU HỎI HOT CÙNG CHỦ ĐỀ
Lời giải
Hướng dẫn giải

a) Ta có \[BE,\,\,CF\] là hai đường cao của tam giác \[ABC\] nên \[\widehat {BFC} = \widehat {BEC} = 90^\circ .\]
Tam giác \[BCE\] vuông tại \[E\] nên \[B,\,\,C,\,\,E\] thuộc đường tròn đường kính \[BC.\]
Tam giác \[BFC\] vuông tại \[F\] nên \[B,\,\,C,\,\,F\] thuộc đường tròn đường kính \[BC.\]
Do đó \[B,\,\,C,\,\,E,\,\,F\] thuộc đường tròn đường kính \[BC.\]
Hay tứ giác \[BFEC\] là tứ giác nội tiếp.
b) Vì tứ giác \[BFEC\] nội tiếp nên \[\widehat {AEF} = \widehat {ABC}\], mà \[\widehat {AKC} = \widehat {ABC}\] nên \[\widehat {AKC} = \widehat {AEF}.\]
Xét đường tròn \[\left( O \right)\] có \(\widehat {ACK} = 90^\circ \) (góc nội tiếp chắn nửa đường tròn) nên
\[\widehat {AKC} + \widehat {IAE} = 90^\circ \] hay \[\widehat {AEF} + \widehat {IAE} = 90^\circ .\]
Tam giác \[IAE\] vuông tại \[I\] nên \[AK \bot EF\] (đpcm).
c) Gọi \[M\] là giao điểm của \[BC\] và \[HK.\]
Vì \(\widehat {ABK},\,\,\widehat {ACK}\) đều là các góc nội tiếp chắn nửa đường tròn \[\left( O \right)\] nên \[\widehat {ABK} = 90^\circ ,\,\,\widehat {ACK} = 90^\circ \] hay \(AB \bot BK\,;\,\,AC \bot CK.\)
Vì \(AB \bot BK\) và \(AB \bot CF\) nên \[BK\,{\rm{//}}\,CF\] hay \[BK\,{\rm{//}}\,CH.\]
Vì \(AC \bot CK\) và \(AC \bot BE\) nên \[BE\,{\rm{//}}\,CK\] hay \[BH\,{\rm{//}}\,CK.\]
Xét tứ giác \(BHCK\) có \[BK\,{\rm{//}}\,CH\,;\,\,BH\,{\rm{//}}\,CK\] nên tứ giác \(BHCK\) là hình bình hành.
Suy ra hai đường chéo \(BC\) và \[HK\]cắt nhau tại trung điểm \[M\] của mỗi đường.
Xét tam giác \[AHK\] có \(O,\,\,M\) lần lượt là trung điểm của \(AK,\,\,HK\)
Suy ra \[OM\] là đường trung bình tam giác \[AHK\] nên \[AH = 2OM;\,\,OM\,{\rm{//}}\,AH.\]

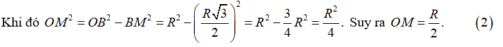
Vì \[M\] là trung điểm của \(BC\) nên \[BM = \frac{{BC}}{2} = \frac{{R\sqrt 3 }}{2}.\]
Vì \[OM\,{\rm{//}}\,AH\] và \(AH \bot BC\) nên \(OM \bot BC.\)
Áp dụng định lí Pythagore vào \(\Delta OBM\) vuông tại \(M\) \(\left( {OM \bot BC} \right)\), ta có: \(O{B^2} = O{M^2} + B{M^2}\)

Từ \(\left( 1 \right)\) và \(\left( 2 \right)\) suy ra \({S_{AEH}} \le \frac{{{R^2}}}{4}\).
Dấu xảy ra khi \[AE = EH\] nên \(\widehat {EAH} = 45^\circ \) hay \(\widehat {ACB} = 45^\circ \).
Vậy \[{\left( {{S_{AEH}}} \right)_{\max }} = \frac{{{R^2}}}{4}\] khi \[A\] thuộc cung lớn \[BC\] và \[\widehat {ACB} = 45^\circ .\]
Lời giải
Đáp án:
Hướng dẫn giải
Đáp số: 844.
Diện tích xung quanh của khối trụ là: \(2\pi R \cdot 6 = 12\pi R\,\,\left( {\,{\rm{c}}{{\rm{m}}^{\rm{2}}}} \right)\)
Diện tích xung quanh của hình bán cầu là: \(2\pi R.R = 2\pi {R^{\rm{2}}}\,\,\left( {\,{\rm{c}}{{\rm{m}}^{\rm{2}}}} \right)\)
Diện tích xung quanh của khối chụp là: \[12\pi R + 2\pi {R^{\rm{2}}} = 120\pi \]
\[{R^2} + 6R - 60 = 0\]
\[R = - 3 + \sqrt {69} \] (TM) hoặc \[R = - 3 - \sqrt {69} \] (loại).
Thể tích của khối chụp là:
\[V = \frac{2}{3}\pi {R^3} + \pi {R^2}h = \frac{2}{3}\pi {\left( { - 3 + \sqrt {69} } \right)^3} + \pi {\left( { - 3 + \sqrt {69} } \right)^2} \cdot 6 \approx 844\,\,\left( {{\rm{c}}{{\rm{m}}^{\rm{3}}}} \right).\]
Vậy thể tích khối chụp khoảng \[844\,\,{\rm{c}}{{\rm{m}}^{\rm{3}}}.\]
Lời giải
Bạn cần đăng ký gói VIP ( giá chỉ từ 250K ) để làm bài, xem đáp án và lời giải chi tiết không giới hạn.
Câu 4
Lời giải
Bạn cần đăng ký gói VIP ( giá chỉ từ 250K ) để làm bài, xem đáp án và lời giải chi tiết không giới hạn.
Lời giải
Bạn cần đăng ký gói VIP ( giá chỉ từ 250K ) để làm bài, xem đáp án và lời giải chi tiết không giới hạn.
Câu 6
Lời giải
Bạn cần đăng ký gói VIP ( giá chỉ từ 250K ) để làm bài, xem đáp án và lời giải chi tiết không giới hạn.
Lời giải
Bạn cần đăng ký gói VIP ( giá chỉ từ 250K ) để làm bài, xem đáp án và lời giải chi tiết không giới hạn.


