Cho đa thức \[P\left( x \right) = - 2 - 2{x^4} - x - 5{x^3} + 10x - 17{x^2} + \frac{1}{2}{x^3} - 5 + {x^3}\].
A. Thu gọn đa thức \[P\left( x \right) = - 2{x^4} - \frac{7}{2}{x^3} - 17{x^2} + 9x - 2\].
B. Đa thức \[P\left( x \right)\] có bậc là 4.
C. Đa thức \[P\left( x \right)\] có hệ số cao nhất là \[ - 17\].
D. Phép chia đa thức \[P\left( x \right):\left( {x - 2} \right)\] có dư là \[2\].
Quảng cáo
Trả lời:
Đáp án đúng là: a) Sai. b) Đúng. c) Sai. d) Sai.
Ta có: \[P\left( x \right) = - 2 - 2{x^4} - x - 5{x^3} + 10x - 17{x^2} + \frac{1}{2}{x^3} - 5 + {x^3}\]
\[P\left( x \right) = - 2{x^4} + \left( {{x^3} + \frac{1}{2}{x^3} - 5{x^3}} \right) - 17{x^2} + \left( {10x - x} \right) + \left( { - 5 - 2} \right)\]
\[P\left( x \right) = - 2{x^4} - \frac{7}{2}{x^3} - 17{x^2} + 9x - 7\].
Do đó, đa thức \[P\left( x \right)\] có bậc là 4 và hệ số cao nhất là \[ - 2.\]
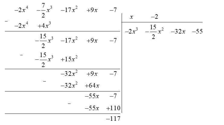
Thực hiện chia đa thức \[P\left( x \right)\] cho đa thức \[\left( {x - 2} \right)\], ta được:

Do đó, phép chia đa thức \[P\left( x \right):\left( {x - 2} \right)\] có dư là \[ - 117\].
Hot: 1000+ Đề thi cuối kì 2 file word cấu trúc mới 2026 Toán, Văn, Anh... lớp 1-12 (chỉ từ 60k). Tải ngay
CÂU HỎI HOT CÙNG CHỦ ĐỀ
Câu 1
A. Tam giác \[OBC\] là tam giác cân.
B. Đường thẳng \[AO\] vuông góc với \[BC.\]
C. \[CP = BQ.\]
D. \[\Delta APQ\] là tam giác đều.
Lời giải
Đáp án đúng là: a) Đúng. b) Đúng. c) Đúng. d) Sai.

a) Ta có tam giác \[ABC\] cân tại \[A\] nên \[\widehat B = \widehat C\].
Mà \[CP\] và \[BQ\] là các đường phân giác trong của tam giác \[ABC\] nên
\[\widehat {PBQ} = \widehat {QBC} = \widehat {PCB} = \widehat {QCP} = \frac{1}{2}\widehat B\] hay \[\widehat {OBC} = \widehat {OCB}\].
Do đó, tam giác \[OBC\] cân tại \[O\].
b) Ta có hai đường phân giác \[CP\] và \[BQ\] cắt nhau tại \[O\] nên \[O\] là giao điểm của ba đường phân giác trong tam giác \[ABC\].
Do đó, \[AO\] cũng là đường phân giác của \[\widehat {BAC}\].
Mà tam giác \[ABC\] cân tại \[A\] nên \[AO\] cũng là đường cao của tam giác \[ABC\].
Do đó, \[AO\] vuông góc với \[BC.\]
c) Xét \[\Delta ABQ\] và \[\Delta ACP\] có: \[\widehat A\] chung (gt), \[AC = AB\] (gt) và \[\widehat {ABQ} = \widehat {ACP} = \frac{{\widehat C}}{2}\] (gt)
Suy ra \[\Delta ABQ = \Delta ACP\] (g.c.g)
Do đó, \[CP = BQ\] (hai cạnh tương ứng)
d) Do \[\Delta ABQ = \Delta ACP\] (cmt) nên \[AQ = AP\] (hai cạnh tương ứng)
Do đó, \[\Delta AQP\] cân tại \[A\].
Lời giải
Đáp án: \[78\]
Gọi chiều dài và chiều rộng của khu đất lần lượt là \[x\] và \[y\] \[\left( {0 < y < x} \right)\].
Theo đề, ta có chiều dài và chiều rộng tỉ lệ với 8 và 5 nên \[\frac{x}{8} = \frac{y}{5}\].
Diện tích của khu đất đó bằng \[360{\rm{ }}{{\rm{m}}^2}\] nên \[xy = 360\].
Đặt \[\frac{x}{8} = \frac{y}{5} = k\] với \[k > 0\] thì \[x = 8k\] và \[y = 5k\].
Do đó, \[xy = 360\] hay \[8k.5k = 360\] hay \[40{k^2} = 360\].
Suy ra \[{k^2} = 9\] nên \[k = 3\] (\[k > 0\]).
Lúc này, \[x = 3.8 = 24\] và \[y = 5.3 = 15\].
Vậy chu vi của thửa ruộng là: \[2.\left( {24 + 15} \right) = 78\] (m).
Lời giải
Bạn cần đăng ký gói VIP ( giá chỉ từ 250K ) để làm bài, xem đáp án và lời giải chi tiết không giới hạn.
Lời giải
Bạn cần đăng ký gói VIP ( giá chỉ từ 250K ) để làm bài, xem đáp án và lời giải chi tiết không giới hạn.
Câu 5
A. Thu gọn đa thức \[P\left( x \right) = 3{x^2} - 4x - 1\].
B. Thu gọn đa thức \[Q\left( x \right) = - 3{x^2} - 4x - 2.\]
C. Đa thức \(g\left( x \right) = 6{x^2} + 1\) với \[g\left( x \right) = P\left( x \right) + Q\left( x \right)\].
D. Với \[g\left( x \right) = P\left( x \right) + Q\left( x \right)\] thì đa thức \[g\left( x \right)\] không phụ thuộc vào biến \[x.\]
Lời giải
Bạn cần đăng ký gói VIP ( giá chỉ từ 250K ) để làm bài, xem đáp án và lời giải chi tiết không giới hạn.
Lời giải
Bạn cần đăng ký gói VIP ( giá chỉ từ 250K ) để làm bài, xem đáp án và lời giải chi tiết không giới hạn.
Lời giải
Bạn cần đăng ký gói VIP ( giá chỉ từ 250K ) để làm bài, xem đáp án và lời giải chi tiết không giới hạn.
