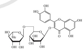
Rutin có nhiều trong hoa hoè. Rutin có tác dụng làm bền vững thành mạch, chống co thắt, chống phóng xạ tia X. Rutin có công thức cấu tạo như sau:

Có bao nhiêu nhóm chức -OH phenol trong một phân tử Rutin?
Câu hỏi trong đề: Bộ 71 đề thi cuối kì 2 Hóa học 11 năm 2023-2024 có đáp án !!
Quảng cáo
Trả lời:
Đáp án:
4
Đáp án: 4
Hot: 1000+ Đề thi cuối kì 2 file word cấu trúc mới 2026 Toán, Văn, Anh... lớp 1-12 (chỉ từ 60k). Tải ngay
CÂU HỎI HOT CÙNG CHỦ ĐỀ
Câu 1
a. Menthol là một alcohol.
b. Menthol tham gia phản ứng với CuO nung nóng tạo ra aldehyde.
c. Menthol có thể hòa tan Cu(OH)2 trong môi trường kiềm tạo dung dịch màu xanh lam thẫm.
d. Cho 62,4 gam menthol phản ứng với Na dư thu được tối đa 4,958 lít H2 (đkc).
Lời giải
ĐSSĐ
Câu 2
C2H5-O-C2H5.
CH3-O-CH3.
CH3-CH=O.
CH2=CH2.
Lời giải
Đáp án đúng là B
Lời giải
Bạn cần đăng ký gói VIP ( giá chỉ từ 250K ) để làm bài, xem đáp án và lời giải chi tiết không giới hạn.
Câu 4
Acetic acid
Glycerol.
Acetic aldehyde.
Ethyl alcohol.
Lời giải
Bạn cần đăng ký gói VIP ( giá chỉ từ 250K ) để làm bài, xem đáp án và lời giải chi tiết không giới hạn.
Câu 5
nguyên tử oxygen.
nguyên tử carbon no.
nguyên tử carbon.
nguyên tử carbon không no.
Lời giải
Bạn cần đăng ký gói VIP ( giá chỉ từ 250K ) để làm bài, xem đáp án và lời giải chi tiết không giới hạn.
Câu 6
CH3CH(OH)CH3.
HOCH2CH2CH2OH.
HOCH2-CH(OH)-CH2OH.
CH3CH2OH.
Lời giải
Bạn cần đăng ký gói VIP ( giá chỉ từ 250K ) để làm bài, xem đáp án và lời giải chi tiết không giới hạn.
Lời giải
Bạn cần đăng ký gói VIP ( giá chỉ từ 250K ) để làm bài, xem đáp án và lời giải chi tiết không giới hạn.
