Một máy phát điện xoay chiều đơn giản gồm khung dây quay đều trong từ trường như hình bên. Suất điện động xoay chiều trong khung dây có độ lớn cực tiểu tại thời điểm

mặt phẳng khung dây vuông góc với đường sức từ.
mặt phẳng khung dây hợp với các đường sức từ một góc \({60^ \circ }\).
mặt phẳng khung dây song song với đường sức từ.
mặt phẳng khung dây hợp với các đường sức từ một góc \({30^ \circ }\).
Quảng cáo
Trả lời:
Đáp án đúng là A
Hot: 1000+ Đề thi cuối kì 2 file word cấu trúc mới 2026 Toán, Văn, Anh... lớp 1-12 (chỉ từ 60k). Tải ngay
CÂU HỎI HOT CÙNG CHỦ ĐỀ
Lời giải
Đáp án:
Đáp án: 600
\(\frac{{pV}}{T} = hs \Rightarrow \frac{{2{p_0}.{V_0}}}{{300}} = \frac{{{p_0}.4{V_0}}}{{{T_4}}} \Rightarrow {\rm{\;}}{{\rm{T}}_4} = 600{\rm{\;K}}\).
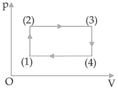
Câu 2
Quá trình biến đổi từ (2) đến (3) là quá trình đẳng tích.
Áp suất của khối khí khi ở trạng thái (1) là \({{\rm{p}}_1} = 831{\rm{\;kPa}}\).
Trong hệ trục tọa độ (pOV) chu trình có dạng hình chữ nhật.
Công do khí thực hiện trong chu trình bằng 1626 J.
Lời giải
a) Sai. Đẳng áp.
b) Đúng. \({{\rm{p}}_1} = \frac{{nR{T_1}}}{{{V_1}}} = \frac{{1 \times 8,31 \times 200}}{{{{2.10}^{ - 3}}}} = 831000{\rm{\;Pa}} = 831{\rm{kPa}}\).
c) Đúng.

d) Sai.
* Từ (4) → (1): đẳng áp: \(\frac{V}{T} = hs \Rightarrow \frac{4}{{{T_4}}} = \frac{2}{{200}} \Rightarrow {\rm{\;}}{{\rm{T}}_4} = 400{\rm{\;K}} = {{\rm{T}}_2}\).
* Từ (1) → (2): đẳng tích: \(\frac{p}{T} = hs \Rightarrow \frac{{831000}}{{200}} = \frac{{{p_2}}}{{400}} \Rightarrow {{\rm{p}}_2} = 1662000{\rm{\;Pa}}\).
* Công khối khí thực hiện có độ lớn là diện tích hình vuông.
\(A = \left( {{p_2} - {p_1}} \right).\left( {{V_4} - {V_1}} \right) = \left( {1662000 - 831000} \right) \times \left( {4 - 2} \right){.10^{ - 3}} = 1662J.\)
Câu 3
a. Sau khi bật biến áp nguồn, dây điện trở đã chuyển hóa năng lượng điện thành năng lượng nhiệt cung cấp cho nước.
b. Nếu bỏ qua nhiệt lượng truyền cho vật khác thì nhiệt lượng nước thu vào bằng nhiệt lượng từ dây điện trở tỏa ra.
c. Từ số liệu đo được như trong bảng trên, nhóm học sinh bỏ qua nhiệt lượng truyền cho vật khác xác định được nhiệt dung riêng của nước là \(4160{\rm{\;J}}/\left( {{\rm{kg}}.{\rm{K}}} \right)\).
d. Nhóm học sinh cho rằng, cần lặp lại phép đo trên nhiều lần và tính giá trị nhiệt dung riêng trung bình của các lần đo mới cho kết quả đáng tin cậy.
Lời giải
Bạn cần đăng ký gói VIP ( giá chỉ từ 250K ) để làm bài, xem đáp án và lời giải chi tiết không giới hạn.
Câu 4
Máy biến áp.
Máy phát điện xoay chiều 3 pha.
Bình nước nóng.
Máy phát điện xoay chiều 1 pha.
Lời giải
Bạn cần đăng ký gói VIP ( giá chỉ từ 250K ) để làm bài, xem đáp án và lời giải chi tiết không giới hạn.
Câu 5
Khi chụp cộng hưởng từ, không nên đeo các vật dụng bằng kim loại vì dòng điện cảm ứng trong các đồ dùng ấy có thể ảnh hưởng đến kết quả đo của máy.
Độ lớn suất điện động cảm ứng sinh ra trong vòng đeo tay là \(10,29{\rm{mV}}\).
Cường độ dòng điện cảm ứng trong vòng đeo tay là \(0,23{\rm{\;A}}\).
Cường độ dòng điện cảm ứng trong vòng đeo tay lớn nhất khi xoay để mặt phẳng vòng đeo tay song song với đường sức từ.
Lời giải
Bạn cần đăng ký gói VIP ( giá chỉ từ 250K ) để làm bài, xem đáp án và lời giải chi tiết không giới hạn.
Câu 6
V tăng, p tăng, T giảm.
V không đổi, p tăng, T giảm.
p tăng, V tăng, T tăng.
T không đổi, p tăng, V giảm.
Lời giải
Bạn cần đăng ký gói VIP ( giá chỉ từ 250K ) để làm bài, xem đáp án và lời giải chi tiết không giới hạn.



