Đề thi Giữa kì 2 Toán 12 trường THPT Phù Cát 3 (Bình Định) năm 2024 – 2025
Khoahoc.vietjack.com cập nhật Đề thi Giữa kì 2 Toán 12 trường THPT Phù Cát 3, tỉnh Bình Định năm 2024 – 2025 sẽ giúp học sinh lớp 12 có thêm tài liệu ôn thi Toán 12 Giữa học kì 2. Mời các bạn đón đọc:
Xem thử Đề thi GK2 Toán 12 KNTTXem thử Đề thi GK2 Toán 12 CTSTXem thử Đề thi GK2 Toán 12 CD
Chỉ từ 150k mua trọn bộ đề thi Toán 12 Giữa kì 2 theo cấu trúc mới bản word có lời giải chi tiết, dễ dàng chỉnh sửa:
A. Tóm tắt nội dung một số câu trong Đề thi Giữa kì 2 Toán 12
Phần I. Câu trắc nghiệm với nhiều phương án lựa chọn (3 điểm). Mỗi câu thí sinh chỉ chọn một phương án.
Câu 4. Cho hàm số f(x) xác định trên K và F(x) là một nguyên hàm của f(x) trên K. Khẳng định nào dưới đây đúng?
...........................................................................................
Phần II. Câu trắc nghiệm đúng sai (2 điểm)
Phần III. Câu trắc nghiệm trả lời ngắn (2 điểm).
Học sinh trả lời đáp án từ câu 1 đến câu 4.
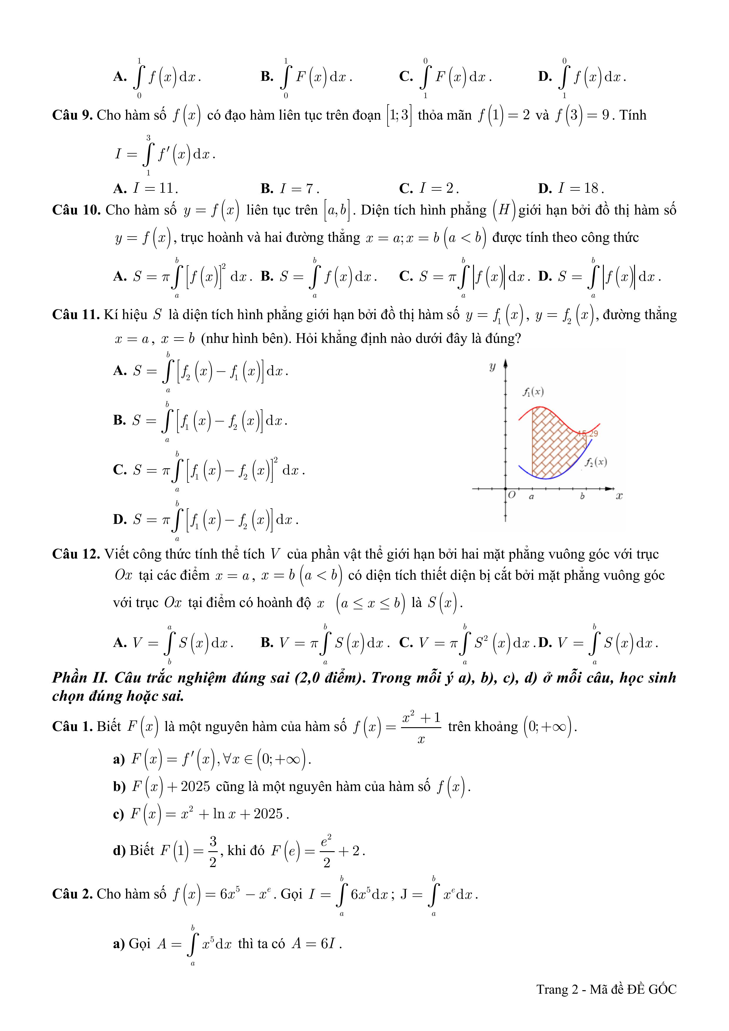
...........................................................................................
Phần IV. Câu hỏi tự luận (3,0 điểm)
Tính thể tích bê tông cần sử dụng để tạo nên khối tường cong đó.
B. Nội dung Đề thi giữa học kì 2 Toán 12 trường THPT Phù Cát 3 (Bình Định) năm 2024–2025






