Đề thi Giữa kì 2 Toán 12 trường THPT Phan Bội Châu (Bình Thuận) năm 2024–2025
Khoahoc.vietjack.com cập nhật Đề thi Giữa kì 2 Toán 12 trường THPT Phan Bội Châu, tỉnh Bình Thuận năm 2024 – 2025 sẽ giúp học sinh lớp 12 có thêm tài liệu ôn thi Toán 12 Giữa học kì 2. Mời các bạn đón đọc:
Xem thử Đề thi GK2 Toán 12 KNTTXem thử Đề thi GK2 Toán 12 CTSTXem thử Đề thi GK2 Toán 12 CD
Chỉ từ 150k mua trọn bộ đề thi Toán 12 Giữa kì 2 theo cấu trúc mới bản word có lời giải chi tiết, dễ dàng chỉnh sửa:
A. Tóm tắt nội dung một số câu trong Đề thi Giữa kì 2 Toán 12
Phần I. Câu trắc nghiệm nhiều phương án lựa chọn. Học sinh trả lời từ câu 1 đến câu 12. Mỗi câu hỏi học sinh chỉ chọn một phương án.
Câu 1: Trong không gian Oxyz, cho hai mặt phẳng (P): 2x + y − 3z − 2024 = 0 và (Q): x + my + z + 2025 = 0 với m là tham số. Mặt phẳng (P) vuông góc với mặt phẳng (Q) khi và chỉ khi
...........................................................................................
Phần II. Câu trắc nghiệm đúng sai. Học sinh trả lời từ câu 1 đến câu 4. Trong mỗi ý a), b), c), d) ở mỗi câu, học sinh chọn đúng hoặc sai.
Câu 2: Một ô tô đang chạy với vận tốc 20 m/s thì người lái xe phát hiện có hàng rào chắn ngang đường ở phía trước cách xe 45 m (tính từ đầu xe tới hàng rào) nên người lái đạp phanh. Từ thời điểm đó, xe chuyển động chậm dần đều với vận tốc v(t) = −5t + 20 (m/s), trong đó t là thời gian được tính từ lúc người lái đạp phanh.
a) Thời gian ô tô di chuyển tính từ lúc bắt đầu đạp phanh đến khi dừng hẳn là 5 giây.
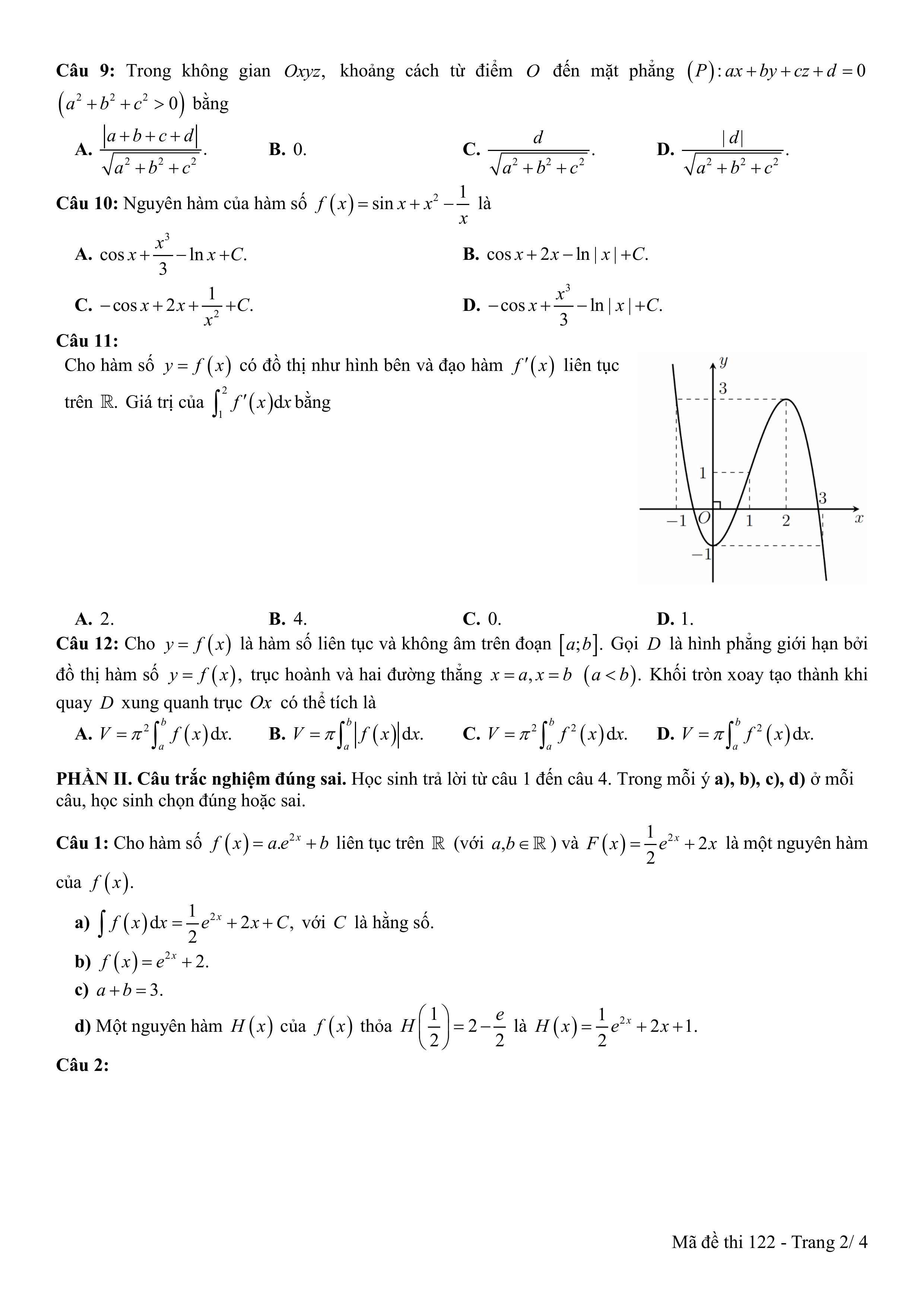
b) Quãng đường ô tô di chuyển được tính từ lúc bắt đầu đạp phanh đến khi dừng hẳn là 40 m.
c) Quãng đường ô tô di chuyển được trong 8 giây cuối là 80 m.
d) Vận tốc trung bình của ô tô trong khoảng thời gian tính từ lúc bắt đầu đạp phanh đến khi dừng lại là 5 m/s.
...........................................................................................
Phần III. Câu trắc nghiệm trả lời ngắn. Học sinh trả lời từ câu 1 đến câu 6.
...........................................................................................
B. Nội dung Đề thi giữa học kì 2 Toán 12 trường THPT Phan Bội Châu (Bình Thuận) năm 2024–2025









C. Chiến lược ôn thi Giữa kì 2 Toán 12 hiệu quả
Qua đề thi Giữa kì 2 Toán 12 trường THPT Phan Bội Châu (Bình Thuận) năm 2024–2025 trên, các em đã nắm được cấu trúc cũng như các dạng bài tập có trong đề thi. Cùng tham gia ôn luyện các Đề thi Giữa kì 2 Toán 12 theo cấu trúc mới nhất trên khoahoc.vietjack.com để ôn thi Toán 12 Giữa kì 2 đạt kết quả cao.