Đề thi tuyển sinh Toán vào lớp 10 (chuyên) năm 2025-2026 sở GD&ĐT Quảng Bình
Khoahoc.vietjack.com cập nhật Đề thi tuyển sinh Toán vào lớp 10 (chuyên) năm 2025-2026 sở GD&ĐT Quảng Bình sẽ giúp học sinh nắm được cấu trúc đề thi và có thêm tài liệu ôn thi vào lớp 10 môn Toán. Mời các bạn đón đọc:
- Bộ đề thi Toán vào 10 năm 2025 có đầy đủ lời giải chi tiết:
Xem thử Bộ đề thi thử vào 10 Toán 2025Xem thử Bộ đề thi vào 10 Toán 2025 Xem thử Chuyên đề Toán ôn vào 10
- Bộ đề thi vào 10 môn Toán Hà Nội, Tp.HCM, Đà Nẵng gồm 8 đề thi CHÍNH THỨC từ năm 2015 → 2024 có lời giải chi tiết giúp Giáo viên có thêm tài liệu ôn thi Toán vào 10 Hà Nội, Tp.HCM, Đà Nẵng:
Xem thử Đề vào 10 Hà NộiXem thử Đề vào 10 TP.HCMXem thử Đề vào 10 Đà Nẵng
Chỉ từ 150k mua trọn bộ Đề ôn thi vào 10 môn Toán năm 2026 theo cấu trúc mới bản word có lời giải chi tiết:
A. Tóm tắt nội dung một số câu trong Đề thi Toán vào lớp 10
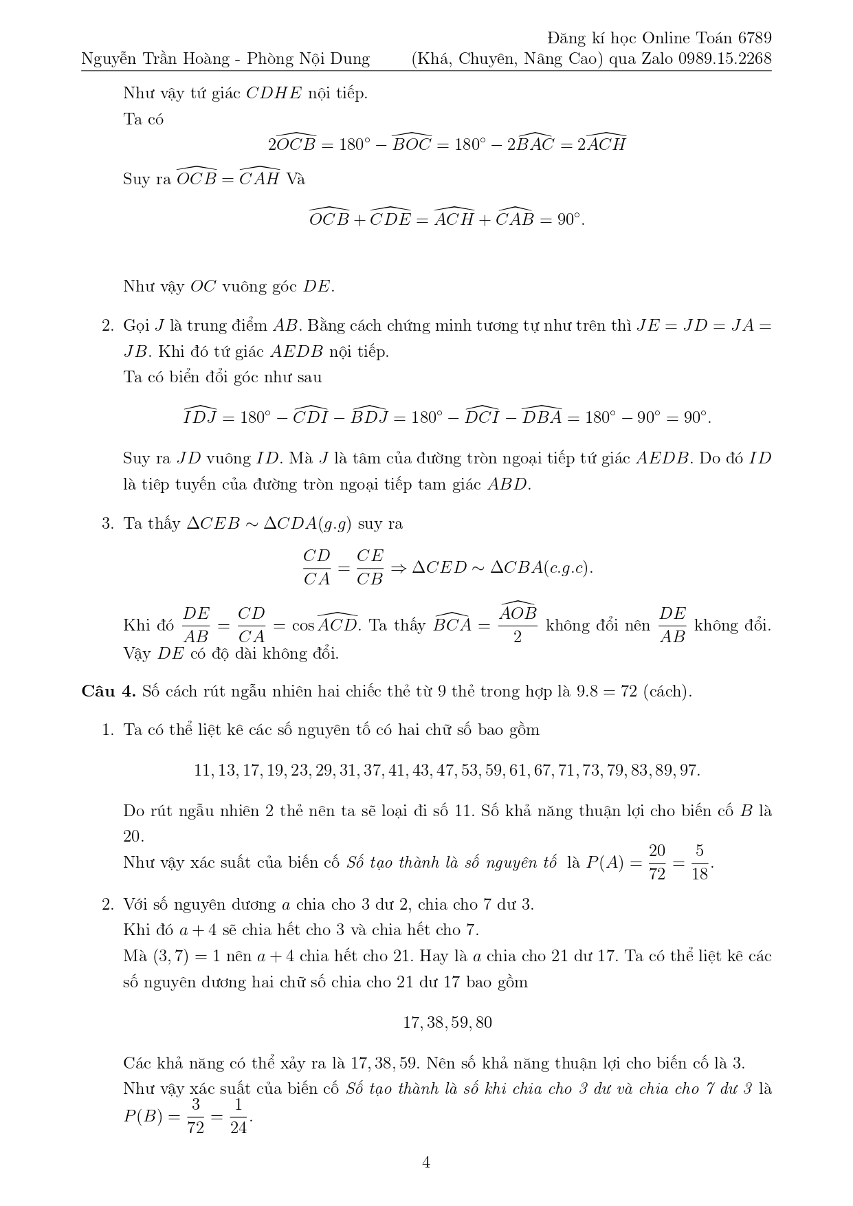
Câu 3: (3.5 điểm)
Cho đường tròn (O;R) cố định và hai điểm A, B cố định trên đường tròn đó (AB khác 2R). Một điểm C di động trên (O;R) sao cho tam giác ABC nhọn. Các đường cao AD, BE, CF cắt nhau tại H. Gọi I là trung điểm của HC.
Chứng minh rằng:
a. CDHE là tứ giác nội tiếp đường tròn và OC vuông góc với DE.
b. ID là tiếp tuyến của đường tròn ngoại tiếp tam giác BED.
c. Đoạn thẳng DE có độ dài không đổi.
Câu 4: (1.5 điểm)
Một hộp đựng 9 thẻ có kích thước và hình dạng giống nhau được đánh số từ 1 đến 9. Rút ngẫu nhiên từ hộp hai thẻ và ghép thành số có hai chữ số. Tính xác suất của các biến cố sau:
a. A: “Số tạo thành là số nguyên tố”.
b. B: “ Số tạo thành là số khi chia cho 3 dư 2 và khi chia cho 7 dư 3",
...........................................................................................
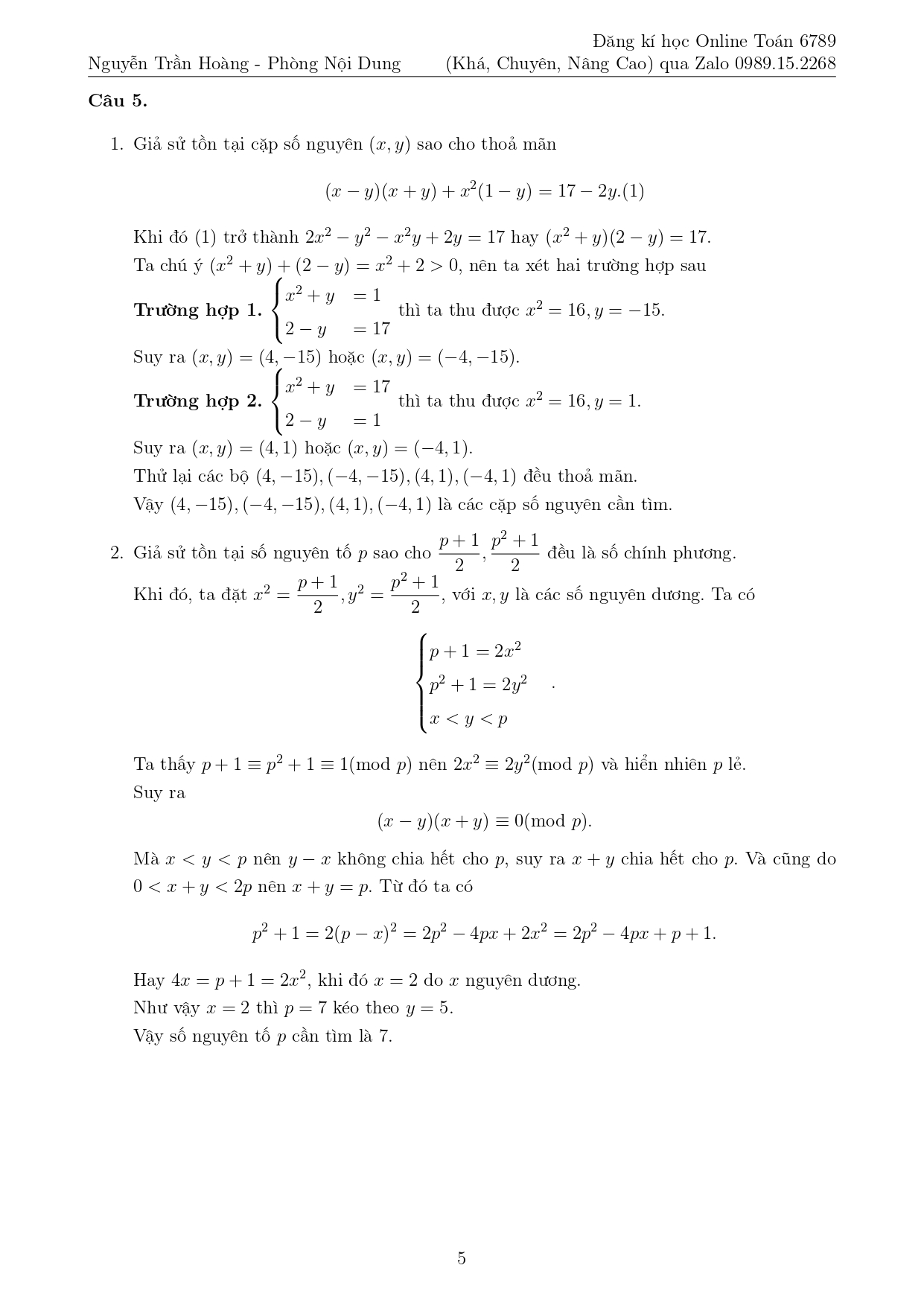
B. Nội dung Đề thi Toán vào lớp 10 (chuyên) năm 2025 - 2026 sở GD&ĐT Quảng Bình






C. Chiến lược ôn thi vào 10 môn Toán hiệu quả
Qua đề thi tuyển sinh Toán vào lớp 10 (chuyên) năm 2025-2026 sở GD&ĐT Quảng Bình trên, các em đã nắm được cấu trúc cũng như các dạng bài tập có trong đề thi. Cùng tham gia ôn luyện các Đề thi Toán vào lớp 10 mới nhất trên khoahoc.vietjack.com để ôn thi Toán đạt kết quả cao.
TÀI LIỆU LIÊN QUAN
Mở khóa kho tài liệu VIP cực lớn!
Không giới hạn lượt tải, xem tài liệu độc quyền từ các giáo viên hàng đầu.
Nâng cấp ngay