Đề thi tuyển sinh Toán vào lớp 10 (chung) năm 2025-2026 sở GD&ĐT Hà Nam
Khoahoc.vietjack.com cập nhật Đề thi tuyển sinh Toán vào lớp 10 (chung) năm 2025-2026 sở GD&ĐT Hà Nam sẽ giúp học sinh nắm được cấu trúc đề thi và có thêm tài liệu ôn thi vào lớp 10 môn Toán. Mời các bạn đón đọc:
- Bộ đề thi Toán vào 10 năm 2025 có đầy đủ lời giải chi tiết:
Xem thử Bộ đề thi thử vào 10 Toán 2025Xem thử Bộ đề thi vào 10 Toán 2025 Xem thử Chuyên đề Toán ôn vào 10
- Bộ đề thi vào 10 môn Toán Hà Nội, Tp.HCM, Đà Nẵng gồm 8 đề thi CHÍNH THỨC từ năm 2015 → 2024 có lời giải chi tiết giúp Giáo viên có thêm tài liệu ôn thi Toán vào 10 Hà Nội, Tp.HCM, Đà Nẵng:
Xem thử Đề vào 10 Hà NộiXem thử Đề vào 10 TP.HCMXem thử Đề vào 10 Đà Nẵng
Chỉ từ 150k mua trọn bộ Đề ôn thi vào 10 môn Toán năm 2026 theo cấu trúc mới bản word có lời giải chi tiết:
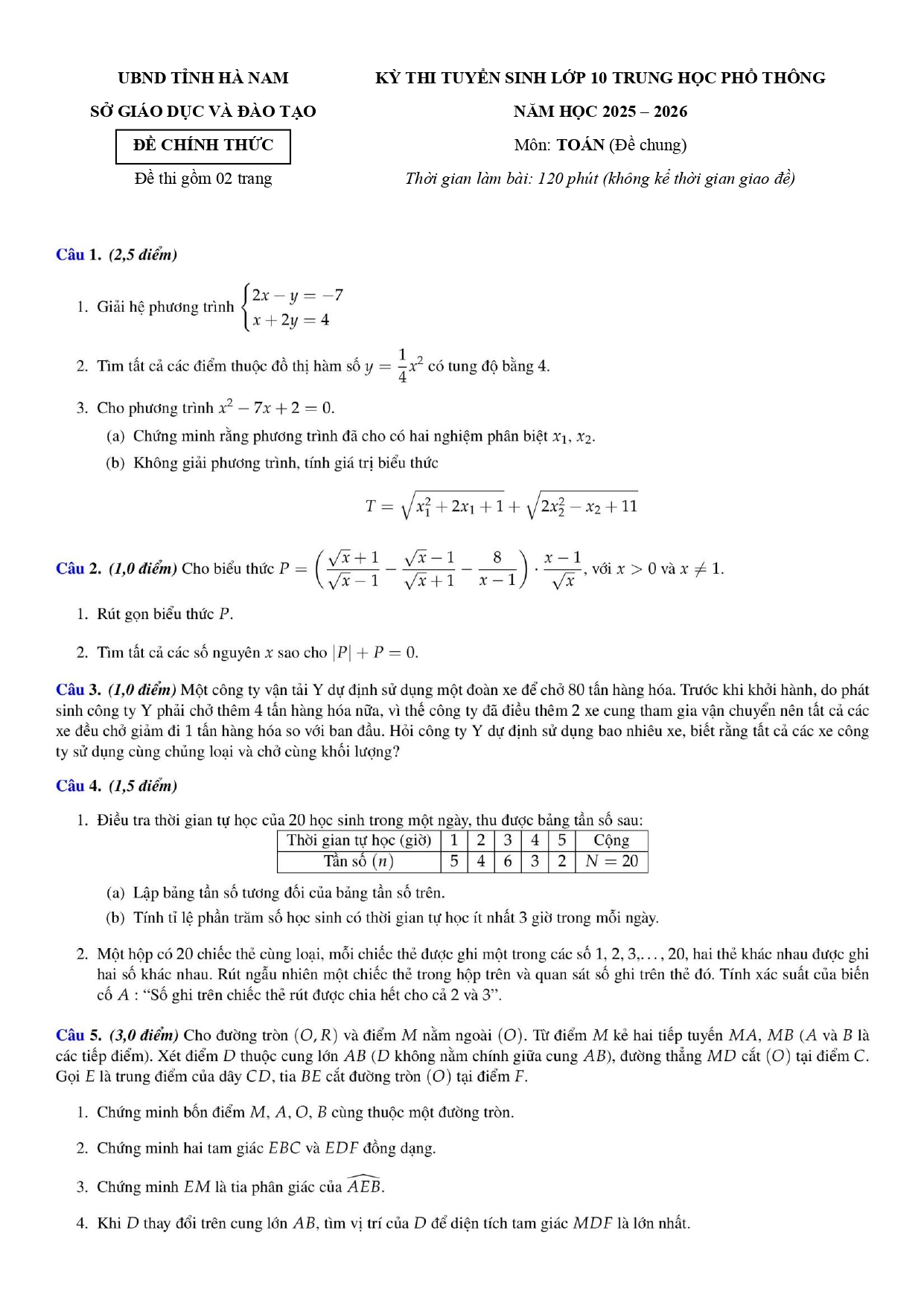
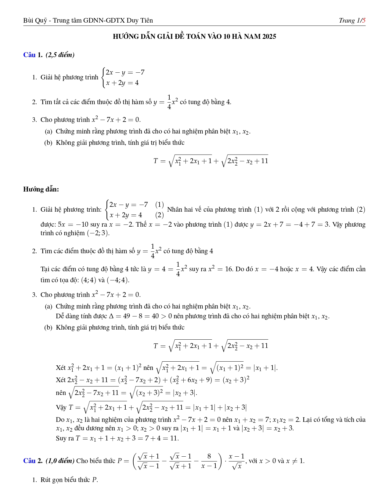
A. Tóm tắt nội dung một số câu trong Đề thi Toán vào lớp 10
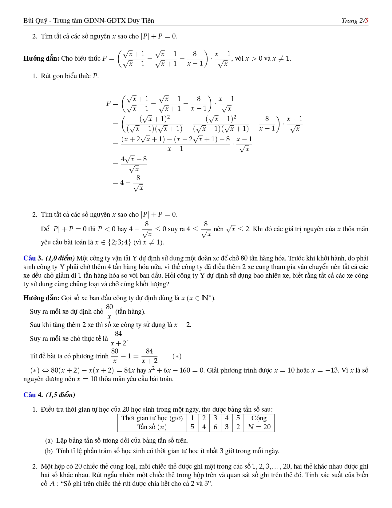
Câu 3. (1,0 điểm) Một công ty vận tải Y dự định sử dụng một đoàn xe để chở 80 tấn hàng hóa. Trước khi khởi hành, do phát sinh công ty Y phải chở thêm 4 tấn hàng hóa nữa, vì thế công ty đã điều thêm 2 xe cung tham gia vận chuyển nên tất cả các xe đều chở giảm đi 1 tấn hàng hóa so với ban đầu. Hỏi công ty Y dự định sử dụng bao nhiêu xe, biết rằng tất cả các xe công ty sử dụng cùng chủng loại và chở cùng khối lượng?
Câu 4. (1,5 điểm)
1. Điều tra thời gian tự học của 20 học sinh trong một ngày, thu được bảng tần số sau:

(a) Lập bảng tần số tương đối của bảng tần số trên.
(b) Tính tỉ lệ phần trăm số học sinh có thời gian tự học ít nhất 3 giờ trong mỗi ngày.
2. Một hộp có 20 chiếc thẻ cùng loại, mỗi chiếc thẻ được ghi một trong các số 1, 2, 3,..., 20, hai thẻ khác nhau được ghi hai số khác nhau. Rút ngẫu nhiên một chiếc thẻ trong hộp trên và quan sát số ghi trên thẻ đó. Tính xác suất của biến cố A : “Số ghi trên chiếc thẻ rút được chia hết cho cả 2 và 3".
...........................................................................................
B. Nội dung Đề thi Toán vào lớp 10 (chuyên) năm 2025 - 2026 sở GD&ĐT Hà Nam







C. Chiến lược ôn thi vào 10 môn Toán hiệu quả
Qua đề thi tuyển sinh Toán vào lớp 10 (chuyên) năm 2025-2026 sở GD&ĐT Hà Nam trên, các em đã nắm được cấu trúc cũng như các dạng bài tập có trong đề thi. Cùng tham gia ôn luyện các Đề thi Toán vào lớp 10 mới nhất trên khoahoc.vietjack.com để ôn thi Toán đạt kết quả cao.
TÀI LIỆU LIÊN QUAN
Mở khóa kho tài liệu VIP cực lớn!
Không giới hạn lượt tải, xem tài liệu độc quyền từ các giáo viên hàng đầu.
🚀 Nâng cấp ngay