Dãy gồmcác chất được dùng để tổng hợp cao su Buna-S là
CH2=C(CH3)−CH=CH2,C6H5CH=CH2.
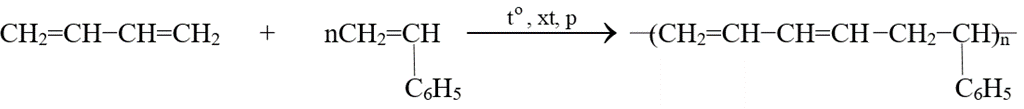
CH2=CH−CH=CH2,C6H5CH=CH2.
CH2=CH−CH=CH2, lưuhuỳnh.
Quảng cáo
Trả lời:
Đáp án đúng là: B
Khi trùng hợp buta-1,3-diene (CH2=CH−CH=CH2) với styrene (C6H5CH=CH2) thu được cao suBuna-S:

Hot: 1000+ Đề thi giữa kì 1 file word cấu trúc mới 2025 Toán, Văn, Anh... lớp 1-12 (chỉ từ 60k). Tải ngay
CÂU HỎI HOT CÙNG CHỦ ĐỀ
Câu 2
Là vật liệu được tổ hợp từ hai hay nhiều vật liệu khác nhau.
Vật liệu composite bao gồm hai thành phần chính là vật liệu cốt và kim loại.
Vật liệu composite có các tính chất vượt trội so với vật liệu ban đầu.
Vật liệu composite cốt sợi được dùng phổ biến để sản xuất thân, vỏ máy bay,....
Lời giải
Đáp án đúng là: B
Vật liệu composite bao gồm hai thành phần chính là vật liệu cốt và vật liệu nền.
Lời giải
Bạn cần đăng ký gói VIP ( giá chỉ từ 199K ) để làm bài, xem đáp án và lời giải chi tiết không giới hạn.
Lời giải
Bạn cần đăng ký gói VIP ( giá chỉ từ 199K ) để làm bài, xem đáp án và lời giải chi tiết không giới hạn.
Lời giải
Bạn cần đăng ký gói VIP ( giá chỉ từ 199K ) để làm bài, xem đáp án và lời giải chi tiết không giới hạn.
Câu 6
cầu nối −O−O−
cầu nối −S−S−
cầu nối −C−S−
cầu nối –C−C−
Lời giải
Bạn cần đăng ký gói VIP ( giá chỉ từ 199K ) để làm bài, xem đáp án và lời giải chi tiết không giới hạn.
Câu 7
2-methylbuta-1,3-diene.
buta-1,3-diene.
propylene.
2-methylbutane.
Lời giải
Bạn cần đăng ký gói VIP ( giá chỉ từ 199K ) để làm bài, xem đáp án và lời giải chi tiết không giới hạn.


