Dãy gồmcác chất được dùng để tổng hợp cao su Buna-S là
CH2=C(CH3)−CH=CH2,C6H5CH=CH2.
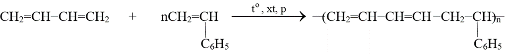
CH2=CH−CH=CH2,C6H5CH=CH2.
CH2=CH−CH=CH2,lưuhuỳnh.
Câu hỏi trong đề: Đề kiểm tra Hóa 12 Cánh diều Chủ đề 4 có đáp án !!
Quảng cáo
Trả lời:
Đáp án đúng là: B
Khi trùng hợp buta-1,3-diene (CH2=CH−CH=CH2) với styrene (C6H5CH=CH2) thu được cao suBuna-S:

Hot: 1000+ Đề thi cuối kì 1 file word cấu trúc mới 2025 Toán, Văn, Anh... lớp 1-12 (chỉ từ 60k). Tải ngay
- 1200 câu hỏi lí thuyết Hóa học (Form 2025) ( 38.000₫ )
- 20 Bộ đề, Tổng ôn, sổ tay, 1200 câu lý thuyết môn Hóa học (có đáp án chi tiết) ( 60.000₫ )
- Sổ tay lớp 12 các môn Toán, Lí, Hóa, Văn, Sử, Địa, KTPL (chương trình mới) ( 36.000₫ )
- Tổng ôn lớp 12 môn Toán, Lí, Hóa, Văn, Anh, Sinh Sử, Địa, KTPL (Form 2025) ( 36.000₫ )
CÂU HỎI HOT CÙNG CHỦ ĐỀ
Lời giải
a.Đúng.
b.Đúng.
c.Đúng.
d.Đúng vì nhựa PS được tổng hợp từ phản ứng trùng hợp styrene: C6H5CH=CH2.
Câu 2
HCOOH trong môi trường acid.
CH3CHO trong môi trường acid.
CH3COOH trong môi trường acid.
HCHO trong môi trường acid.
Lời giải
Đáp án đúng là: A
Phương trình phản ứng hóa học:

Lời giải
Bạn cần đăng ký gói VIP ( giá chỉ từ 199K ) để làm bài, xem đáp án và lời giải chi tiết không giới hạn.
Lời giải
Bạn cần đăng ký gói VIP ( giá chỉ từ 199K ) để làm bài, xem đáp án và lời giải chi tiết không giới hạn.
Lời giải
Bạn cần đăng ký gói VIP ( giá chỉ từ 199K ) để làm bài, xem đáp án và lời giải chi tiết không giới hạn.
Câu 6
Là vật liệu được tổ hợp từ hai hay nhiều vật liệu khác nhau.
Vật liệu composite bao gồm hai thành phần chính là vật liệu cốt và kim loại.
Vật liệu composite có các tính chất vượt trội so với vật liệu ban đầu.
Vật liệu composite cốt sợi được dùng phổ biến để sản xuất thân, vỏ máy bay,....
Lời giải
Bạn cần đăng ký gói VIP ( giá chỉ từ 199K ) để làm bài, xem đáp án và lời giải chi tiết không giới hạn.
Câu 7
trùng hợp.
trùng ngưng.
thế.
trao đổi.
Lời giải
Bạn cần đăng ký gói VIP ( giá chỉ từ 199K ) để làm bài, xem đáp án và lời giải chi tiết không giới hạn.


