Quảng cáo
Trả lời:
Đáp án đúng là: A
Hợp chất trong phân tử có liên kết ion làNH4Cl.
Cụ thể:

Hot: 1000+ Đề thi giữa kì 1 file word cấu trúc mới 2025 Toán, Văn, Anh... lớp 1-12 (chỉ từ 60k). Tải ngay
- Trọng tâm Toán, Văn, Anh 10 cho cả 3 bộ KNTT, CTST, CD VietJack - Sách 2025 ( 13.600₫ )
- Sách - Sổ tay kiến thức trọng tâm Vật lí 10 VietJack - Sách 2025 theo chương trình mới cho 2k9 ( 31.000₫ )
- Sách lớp 10 - Combo Trọng tâm Toán, Văn, Anh và Lí, Hóa, Sinh cho cả 3 bộ KNTT, CD, CTST VietJack ( 75.000₫ )
- Sách lớp 11 - Trọng tâm Toán, Lý, Hóa, Sử, Địa lớp 11 3 bộ sách KNTT, CTST, CD VietJack ( 52.000₫ )
CÂU HỎI HOT CÙNG CHỦ ĐỀ
Lời giải
Cấu hình electron nguyên tử X: [Ne]3s23p5.
⇒ X thuộc chu kì 3, nhóm VIIA trong bảng tuần hoàn.
(a) Đúng.
(b) Sai. X có thể tạo ion bền có dạng X-.
(c) Sai. Oxide cao nhất của X có công thức X2O7.
(d) Đúng.
Lời giải
Đáp án đúng là: 3
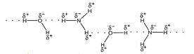
Các phân tử có thể tạo liên kết hydrogen với phân tử nước là: H2O, NH3, HF.

Liên kết hydrogen giữa các phân tử nước

Liên kết hydrogen giữa NH3 và nước

Liên kết hydrogen giữa HF và nước
Câu 3
điện tích hạt nhân nguyên tử của nguyên tố đó
số đơn vị điện tích hạt nhân nguyên tử của nguyên tố đó
tổng số proton và neutron trong nguyên tử của nguyên tố đó
tổng số proton và electron trong nguyên tử của nguyên tố đó
Lời giải
Bạn cần đăng ký gói VIP ( giá chỉ từ 199K ) để làm bài, xem đáp án và lời giải chi tiết không giới hạn.
Câu 4
Nhường 5 electron.
Nhận 3 electron.
Nhường 3 electron.
Nhận 5 electron.
Lời giải
Bạn cần đăng ký gói VIP ( giá chỉ từ 199K ) để làm bài, xem đáp án và lời giải chi tiết không giới hạn.
Câu 5
Liên kết giữa C và O là cộng hóa trị không cực, CO2 là phân tử có cực.
Liên kết giữa C và O là cộng hóa trị có cực, CO2 là phân tử có cực.
Liên kết giữa C và O là cộng hóa trị không cực, CO2 là phân tử không cực.
Liên kết giữa C và O là cộng hóa trị có cực, CO2 là phân tử không cực.
Lời giải
Bạn cần đăng ký gói VIP ( giá chỉ từ 199K ) để làm bài, xem đáp án và lời giải chi tiết không giới hạn.
Câu 6
phi kim mạnh nhất là fluorine.
phi kim mạnh nhất là bromine.
kim loại mạnh nhất là lithium.
kim loại yếu nhất là caesium.
Lời giải
Bạn cần đăng ký gói VIP ( giá chỉ từ 199K ) để làm bài, xem đáp án và lời giải chi tiết không giới hạn.




và là acidic oxide.
và là acid mạnh.