Trong các phân tử sau: H2O, CH4, NH3, HF, CO2, H2. Số phân tử có thể tạo liên kết hydrogen với phân tử nước là bao nhiêu?
Quảng cáo
Trả lời:
Đáp án đúng là: 3
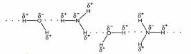
Các phân tử có thể tạo liên kết hydrogen với phân tử nước là: H2O, NH3, HF.

Liên kết hydrogen giữa các phân tử nước

Liên kết hydrogen giữa NH3 và nước

Liên kết hydrogen giữa HF và nước
Hot: 1000+ Đề thi cuối kì 1 file word cấu trúc mới 2025 Toán, Văn, Anh... lớp 1-12 (chỉ từ 60k). Tải ngay
- Sách - Sổ tay kiến thức trọng tâm Vật lí 10 VietJack - Sách 2025 theo chương trình mới cho 2k9 ( 31.000₫ )
- Trọng tâm Toán, Văn, Anh 10 cho cả 3 bộ KNTT, CTST, CD VietJack - Sách 2025 ( 13.600₫ )
- Sách lớp 10 - Combo Trọng tâm Toán, Văn, Anh và Lí, Hóa, Sinh cho cả 3 bộ KNTT, CD, CTST VietJack ( 75.000₫ )
- Sách lớp 11 - Trọng tâm Toán, Lý, Hóa, Sử, Địa lớp 11 3 bộ sách KNTT, CTST, CD VietJack ( 52.000₫ )
CÂU HỎI HOT CÙNG CHỦ ĐỀ
Lời giải
P (Z = 15): 1s22s22p63s23p3
Nguyên tố P thuộc chu kì 3, nhóm VA.
O (Z = 8): 1s22s22p4
Nguyên tố O thuộc chu kì 2, nhóm VIA.
S (Z = 16): 1s22s22p63s23p4
Nguyên tố S thuộc chu kì 3, nhóm VIA.
Trong một chu kì, theo chiều tăng dần của điện tích hạt nhân, tính kim loại giảm dần và tính phi kim tăng dần
Tính phi kim: P < S.
Trong một nhóm A, theo chiều tăng dần của điện tích hạt nhân, tính kim loại tăng dần và tính phi kim giảm dần
Tính phi kim: S < O.
Vậy tính phi kim: P < S < O.
Lời giải
(a) Đúng.
(b) Sai. NaF là hợp chất ion do liên kết trong phân tử NaF được hình thành giữa kim loại mạnh và phi kim mạnh.
(c) Đúng.
(d) Sai. Nguyên tử Na (thuộc nhóm IA) có 1 electron hóa trị, nguyên tử F (thuộc nhóm VIIA) có 7 electron hóa trị.
Lời giải
Bạn cần đăng ký gói VIP ( giá chỉ từ 199K ) để làm bài, xem đáp án và lời giải chi tiết không giới hạn.
Câu 4
Nhường 5 electron.
Nhận 3 electron.
Nhường 3 electron.
Nhận 5 electron.
Lời giải
Bạn cần đăng ký gói VIP ( giá chỉ từ 199K ) để làm bài, xem đáp án và lời giải chi tiết không giới hạn.
Lời giải
Bạn cần đăng ký gói VIP ( giá chỉ từ 199K ) để làm bài, xem đáp án và lời giải chi tiết không giới hạn.
Câu 6
điện tích hạt nhân nguyên tử của nguyên tố đó
số đơn vị điện tích hạt nhân nguyên tử của nguyên tố đó
tổng số proton và neutron trong nguyên tử của nguyên tố đó
tổng số proton và electron trong nguyên tử của nguyên tố đó
Lời giải
Bạn cần đăng ký gói VIP ( giá chỉ từ 199K ) để làm bài, xem đáp án và lời giải chi tiết không giới hạn.

và là acidic oxide.
và là acid mạnh.