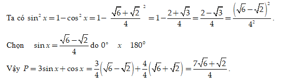
Cho \({0^ \circ } \le x \le {180^0}\) và \(\cos x = \frac{{\sqrt 6 + \sqrt 2 }}{4}\), tính \(P = 3\sin x + \cos x\)
Câu hỏi trong đề: Bộ 10 đề thi giữa kì 1 Toán 10 có đáp án !!
Quảng cáo
Trả lời:

Hot: 1000+ Đề thi giữa kì 2 file word cấu trúc mới 2026 Toán, Văn, Anh... lớp 1-12 (chỉ từ 60k). Tải ngay
- Trọng tâm Lí, Hóa, Sinh 10 cho cả 3 bộ KNTT, CTST và CD VietJack - Sách 2025 ( 40.000₫ )
- Sách - Sổ tay kiến thức trọng tâm Vật lí 10 VietJack - Sách 2025 theo chương trình mới cho 2k9 ( 31.000₫ )
- Sách lớp 10 - Combo Trọng tâm Toán, Văn, Anh và Lí, Hóa, Sinh cho cả 3 bộ KNTT, CD, CTST VietJack ( 75.000₫ )
- Sách lớp 11 - Trọng tâm Toán, Lý, Hóa, Sử, Địa lớp 11 3 bộ sách KNTT, CTST, CD VietJack ( 52.000₫ )
CÂU HỎI HOT CÙNG CHỦ ĐỀ
Lời giải
|
Trả lời |
1 |
0 |
8 |
6 |
Gọi \(x\) (tấn) và \(y\) (tấn) lần lượt là số lượng thức ăn loại A và loại B mà nhà máy nên sản xuất. Theo đề bài ta có hệ bất phương trình sau:
\(\left\{ \begin{array}{l}3x + 2y \le 120\\2x + 4y \le 160\\x + 3y \le 80\\x \ge 0\\y \ge 0\end{array} \right. \Leftrightarrow \left\{ \begin{array}{l}3x + 2y \le 120\\x + 2y \le 80\\x + 3y \le 80\\x \ge 0\\y \ge 0\end{array} \right.\)
Lợi nhuận thu được từ việc sản xuất \(x\) tấn thức ăn loại A và \(y\) tấn thức ăn loại B là:
\(T = 20x + 30y\)(triệu đồng)
Biểu diễn miền nghiệm của hệ:

Vậy miền nghiệm của hệ là miền tứ giác \(OABC\) với \(O\left( {0;0} \right),{\rm{ }}A\left( {0;\frac{{80}}{3}} \right),{\rm{ }}B\left( {\frac{{200}}{7};\frac{{120}}{7}} \right),{\rm{ }}C\left( {40;0} \right)\)
\(T = 20x + 30y\)đạt giá trị nhỏ nhất bằng \(\frac{{7600}}{7} \approx 1086\) tại \(x = \frac{{200}}{7},{\rm{ }}y = \frac{{120}}{7}\).
Vậy lợi nhuận lớn nhất mà nhà máy thu được là 1086 triệu đồng.
Câu 2
A. \(\frac{{2\sqrt 5 }}{5}\).
Lời giải
Chọn B
Ta có \(\frac{1}{{{{\sin }^2}\alpha }} = 1 + {\cot ^2}\alpha \).
Từ đó suy ra \(\frac{1}{{\frac{4}{9}}} = 1 + {\cot ^2}\alpha \Leftrightarrow {\cot ^2}\alpha = \frac{5}{4}\)\( \Leftrightarrow \cot \alpha = \pm \frac{{\sqrt 5 }}{2}\).
Vì \(90^\circ < \alpha < 180^\circ \Rightarrow \cot \alpha < 0\). Từ đó suy ra \(\cot \alpha = - \frac{{\sqrt 5 }}{2}\).
Mặt kháC. \(\tan \alpha = \frac{1}{{\cot \alpha }} \Rightarrow \tan \alpha = \frac{1}{{ - \frac{{\sqrt 5 }}{2}}} = - \frac{{2\sqrt 5 }}{5}\).
Vậy \(\tan \alpha = - \frac{{2\sqrt 5 }}{5}\).
Lời giải
Bạn cần đăng ký gói VIP ( giá chỉ từ 199K ) để làm bài, xem đáp án và lời giải chi tiết không giới hạn.
Lời giải
Bạn cần đăng ký gói VIP ( giá chỉ từ 199K ) để làm bài, xem đáp án và lời giải chi tiết không giới hạn.
Câu 5
A. \(6.5\).
Lời giải
Bạn cần đăng ký gói VIP ( giá chỉ từ 199K ) để làm bài, xem đáp án và lời giải chi tiết không giới hạn.
Lời giải
Bạn cần đăng ký gói VIP ( giá chỉ từ 199K ) để làm bài, xem đáp án và lời giải chi tiết không giới hạn.
Lời giải
Bạn cần đăng ký gói VIP ( giá chỉ từ 199K ) để làm bài, xem đáp án và lời giải chi tiết không giới hạn.

