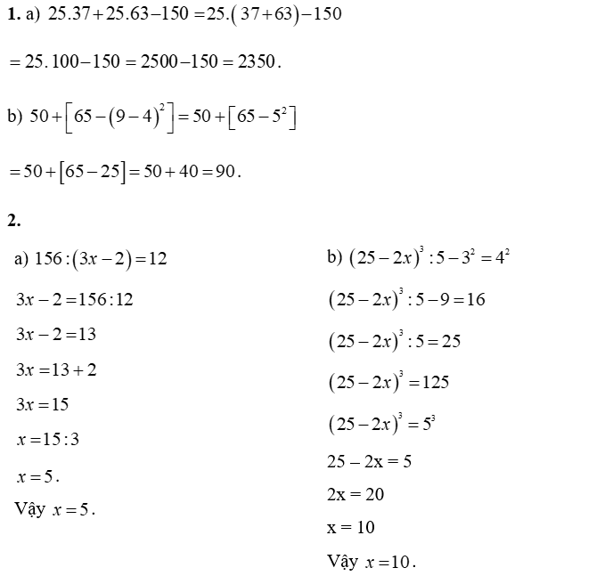
1. Thực hiện phép tính:
(a) \(25\,\,.\,\,37\, + \,25\,\,.\,\,63\, - \,150\)
(b) \(50 + \left[ {65 - {{\left( {9 - 4} \right)}^2}} \right]\).
2. Tìm \[x\], biết:
(a) \(156:\left( {3x - 2} \right) = 12\)
(b) \({\left( {25 - 2x} \right)^3}:5 - {3^2} = {4^2}\).
Quảng cáo
Trả lời:

Hot: 1000+ Đề thi cuối kì 1 file word cấu trúc mới 2025 Toán, Văn, Anh... lớp 1-12 (chỉ từ 60k). Tải ngay
CÂU HỎI HOT CÙNG CHỦ ĐỀ
Lời giải
Ta có \[D = 3 + {3^2} + {3^3} + \ldots + {3^{2012}}\]
\[ = \left( {3 + {3^2} + {3^3} + {3^4}} \right) + \left( {{3^5} + {3^6} + {3^7} + {3^8}} \right) + \ldots + \left( {{3^{2009}} + {3^{2010}} + {3^{2011}} + {3^{2012}}} \right)\]
\[ = 3.{\rm{ }}\left( {1 + 3 + {3^2} + {3^3}} \right) + {3^5}.{\rm{ }}\left( {1 + 3 + {3^2} + {3^3}} \right) + \ldots + {3^{2009}}.{\rm{ }}\left( {1 + 3 + {3^2} + {3^3}} \right)\]
\[ = 3\,\,.\,\,40 + {3^5}\,\,.\,\,40 + \ldots {\rm{ }} + {3^{2009}}\,\,.\,\,40\]
\[ = 40\,\,.\,\,\left( {3 + {3^5} + \ldots + {3^{2009}}} \right)\].
Vì \[40\,\, \vdots \,\,40\] nên \[40\,\,.\,\,\left( {3 + {3^5} + \ldots + {3^{2009}}} \right)\,\, \vdots \,\,40\].
Vậy biểu thức \[D\] chia hết cho 40.
Câu 2
\(a \notin M\)
\(y \in M\)
\(1 \in M\)
\(b \notin M\).
Lời giải
Đáp án đúng là: B
Tập hợp \(M\) gồm các phần tử \(a;\,\,b;\,\,x;\,\,y\).
Do đó \(y \in M\).
Lời giải
Bạn cần đăng ký gói VIP ( giá chỉ từ 199K ) để làm bài, xem đáp án và lời giải chi tiết không giới hạn.
Lời giải
Bạn cần đăng ký gói VIP ( giá chỉ từ 199K ) để làm bài, xem đáp án và lời giải chi tiết không giới hạn.
Lời giải
Bạn cần đăng ký gói VIP ( giá chỉ từ 199K ) để làm bài, xem đáp án và lời giải chi tiết không giới hạn.
Lời giải
Bạn cần đăng ký gói VIP ( giá chỉ từ 199K ) để làm bài, xem đáp án và lời giải chi tiết không giới hạn.