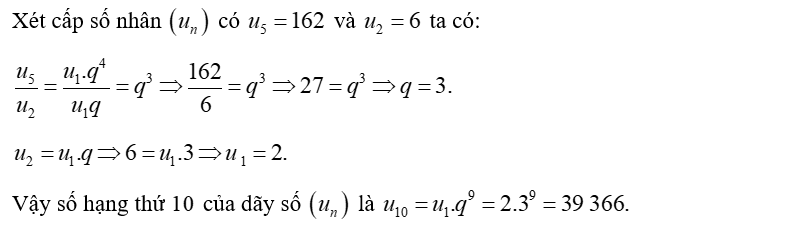
Số hạng thứ 5 của một cấp số nhân \(\left( {{u_n}} \right)\) bằng \(162\) và số hạng thứ \(2\) bằng \(6.\)Số hạng thứ \(10\) của dãy số \(\left( {{u_n}} \right)\) là
\({u_{10}} = 39\,\,366.\)
\({u_{10}} = 118\,\,098.\)
\({u_{10}} = 972.\)
\({u_{10}} = 324.\)
Câu hỏi trong đề: Bộ 10 đề thi cuối kì 1 Toán 11 Cánh diều có đáp án !!
Quảng cáo
Trả lời:
Đáp án đúng là: A

Hot: 1000+ Đề thi giữa kì 2 file word cấu trúc mới 2026 Toán, Văn, Anh... lớp 1-12 (chỉ từ 60k). Tải ngay
- Trọng tâm Hóa học 11 dùng cho cả 3 bộ sách Kết nối, Cánh diều, Chân trời sáng tạo VietJack - Sách 2025 ( 58.000₫ )
- Sách - Sổ tay kiến thức trọng tâm Vật lí 11 VietJack - Sách 2025 theo chương trình mới cho 2k8 ( 45.000₫ )
- Sách lớp 11 - Trọng tâm Toán, Lý, Hóa, Sử, Địa lớp 11 3 bộ sách KNTT, CTST, CD VietJack ( 52.000₫ )
- Sách lớp 10 - Combo Trọng tâm Toán, Văn, Anh và Lí, Hóa, Sinh cho cả 3 bộ KNTT, CD, CTST VietJack ( 75.000₫ )
CÂU HỎI HOT CÙNG CHỦ ĐỀ
Lời giải
Đáp án đúng là: B

Ta có: \(N \in AC\) mà \(AC \subset \left( {ACD} \right) \Rightarrow N \in \left( {ACD} \right).\)
\( \Rightarrow N \in \left( {DMN} \right) \cap \left( {ACD} \right).\)
Lại có: \(D \in \left( {DMN} \right) \cap \left( {ACD} \right).\)
Do đó \(DN = \left( {DMN} \right) \cap \left( {ACD} \right).\)
Câu 2
Mặt phẳng \(\left( {ABD} \right).\)
Mặt phẳng \(\left( {ACD} \right).\)
Mặt phẳng \[\left( {ABC} \right).\]
Mặt phẳng \(\left( {BCD} \right).\)
Lời giải
Đáp án đúng là: D

Xét \(\Delta ABC\) có: \(M,\,\,N\) lần lượt là trung điểm của \(AB,\,\,AC.\)
Suy ra \(MN\) là đường trung bình của \(\Delta ABC.\)
\( \Rightarrow MN{\rm{//}}BC.\)
Mà \(BC \subset \left( {BCD} \right);\,\,MN \not\subset \left( {BCD} \right).\)
\( \Rightarrow MN{\rm{//}}\left( {BCD} \right).\)
Lời giải
Bạn cần đăng ký gói VIP ( giá chỉ từ 199K ) để làm bài, xem đáp án và lời giải chi tiết không giới hạn.
Câu 4
Tam giác \(A'C'B'.\)
Đoạn thẳng \(A'B'.\)
Tam giác \(A'B'C'.\)
Đoạn thẳng \(A'C'.\)
Lời giải
Bạn cần đăng ký gói VIP ( giá chỉ từ 199K ) để làm bài, xem đáp án và lời giải chi tiết không giới hạn.
Lời giải
Bạn cần đăng ký gói VIP ( giá chỉ từ 199K ) để làm bài, xem đáp án và lời giải chi tiết không giới hạn.
Câu 6
\(\left( {MNP} \right){\rm{//}}\left( {ABCD} \right).\)
\(\left( {MNP} \right){\rm{//}}\left( {SCD} \right).\)
\(MN{\rm{//}}\left( {ABCD} \right).\)
\(MP{\rm{//}}\left( {ABCD} \right).\)
Lời giải
Bạn cần đăng ký gói VIP ( giá chỉ từ 199K ) để làm bài, xem đáp án và lời giải chi tiết không giới hạn.
Câu 7
\(50^\circ + k360^\circ ,\,\,k \in \mathbb{Z}.\)
\(50^\circ + k180^\circ ,\,\,k \in \mathbb{Z}.\)
\( - 50^\circ + k360^\circ ,\,\,k \in \mathbb{Z}.\)
\( - 50^\circ + k180^\circ ,\,\,k \in \mathbb{Z}.\)
Lời giải
Bạn cần đăng ký gói VIP ( giá chỉ từ 199K ) để làm bài, xem đáp án và lời giải chi tiết không giới hạn.

