Các nhận định dưới đây có bao nhiêu nhận định đúng?
(a) Phản ứng điều chế polyethylene từ ethylene là phản ứng trùng hợp.
(b) Phản ứng
là phản ứng giảm mạch.
(c) Phản ứng
là phản ứng giữ nguyên mạch.
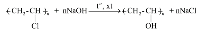
(d) Phản ứng
là phản ứng giảm mạch.
Các nhận định dưới đây có bao nhiêu nhận định đúng?
(a) Phản ứng điều chế polyethylene từ ethylene là phản ứng trùng hợp.
(b) Phản ứng
là phản ứng giảm mạch.
(c) Phản ứng
là phản ứng giữ nguyên mạch.
(d) Phản ứng
là phản ứng giảm mạch.
Quảng cáo
Trả lời:
Đáp án đúng là B
Phương pháp giải
Phản ứng hóa học của polymer.
Lời giải
Các nhận định đúng là nhận định (a), (d).
- Nhận định (b) sai vì sau phản ứng số nguyên tử carbon của mỗi mắt xích vẫn giữ nguyên nên đây là phản ứng giữ nguyên mạch.
- Nhận định (c) sai vì sau phản ứng số nguyên tử carbon của mỗi mắt xích giảm đi làm giảm độ dài của mạch polymer nên đây là phản ứng giảm mạch.
Chọn đáp án B.
Hot: 1000+ Đề thi giữa kì 2 file word cấu trúc mới 2026 Toán, Văn, Anh... lớp 1-12 (chỉ từ 60k). Tải ngay
- Tuyển tập 15 đề thi Đánh giá tư duy Đại học Bách Khoa Hà Nội 2025 (Tập 1) ( 39.000₫ )
- Tuyển tập 30 đề thi đánh giá năng lực Đại học Quốc gia Hà Nội 2025 (Tập 1) ( 39.000₫ )
- Tuyển tập 30 đề thi đánh giá năng lực Đại học Quốc gia TP Hồ Chí Minh (2 cuốn) ( 140.000₫ )
- Tuyển tập 30 đề thi đánh giá năng lực Đại học Quốc gia Hà Nội, TP Hồ Chí Minh (2 cuốn) ( 150.000₫ )
CÂU HỎI HOT CÙNG CHỦ ĐỀ
Lời giải
Đáp án đúng là B
Phương pháp giải
+ Tính ab/ab -> ab = ?
+ Tính f khi biết ab
=> Tính tỉ lệ các kiểu hình còn lại
Ruồi giấm đực không có HVG
Lời giải
Ruồi cái thân đen, cánh cụt, mắt đỏ:
\(A - bb{X^D}{X^ - } = 10,25\% \Rightarrow A - bb = \frac{{0,1025}}{{0,5{X^D}{X^ - }}} = 0,205\)
\( \Rightarrow \frac{{ab}}{{ab}} = 0,045 \to \underline {ab} \)♀\( = 0,09 = \frac{f}{2}\)(vì bên đực không có HVG nên cho ab = 0,5)
⇒ tần số HVG = 18% ⇒ A−B− = 0,545
I đúng, số kiểu gene tối đa: 7 × 4 = 28; số kiểu hình = 4 × 3= 12.
II sai, tần số HVG = 18%.
III sai, A-B-XDY = 0,545 0,25 XDY = 0,13625.
IV đúng, số cá thể cái dị hợp tử về 1 trong 3 cặp gene:
(0,41Ab + 0,41aB) × (0,5AB + 0,5ab) × 0,25XDXD + (0,09AB × 0,5AB + 0,09ab × 0,5ab) × 0,25XDXd = 0,2275
Câu 2
Lời giải
Đáp án đúng là D
Phương pháp giải
Áp suất phân tử chất khí: \(p = \frac{1}{3}\rho \overline {{v^2}} \)
Lời giải
Áp suất mà khí đó tác dụng lên thành bình là:
\(p = \frac{1}{3}.\frac{m}{V}\overline {{v^2}} = \frac{1}{3}\rho \overline {{v^2}} \)
\[ \to p = \frac{1}{3}{.6.10^{ - 2}}{.500^2} = {5.10^3}\,(Pa)\]
Lời giải
Bạn cần đăng ký gói VIP ( giá chỉ từ 199K ) để làm bài, xem đáp án và lời giải chi tiết không giới hạn.
Câu 4
Lời giải
Bạn cần đăng ký gói VIP ( giá chỉ từ 199K ) để làm bài, xem đáp án và lời giải chi tiết không giới hạn.
Câu 5
Lời giải
Bạn cần đăng ký gói VIP ( giá chỉ từ 199K ) để làm bài, xem đáp án và lời giải chi tiết không giới hạn.
Câu 6
Lời giải
Bạn cần đăng ký gói VIP ( giá chỉ từ 199K ) để làm bài, xem đáp án và lời giải chi tiết không giới hạn.
Câu 7
Lời giải
Bạn cần đăng ký gói VIP ( giá chỉ từ 199K ) để làm bài, xem đáp án và lời giải chi tiết không giới hạn.

