Quảng cáo
Trả lời:
Đáp án
32
Giải thích
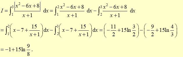
Ta có \(x + 1 > 0,\forall x \in \left[ {1;3} \right]\), suy ra .
Lại có \({x^2} - 6x + 8 \le 0 \Leftrightarrow 2 \le x \le 4\). Do đó

Vậy \(\left\{ {\begin{array}{*{20}{l}}{a = - 1}\\{b = 1}\\{c = 15}\\{d = 9}\\{e = 8}\end{array} \Rightarrow a + b + c + d + e = 32} \right.\).
Hot: 1000+ Đề thi cuối kì 1 file word cấu trúc mới 2025 Toán, Văn, Anh... lớp 1-12 (chỉ từ 60k). Tải ngay
- Tuyển tập 30 đề thi đánh giá năng lực Đại học Quốc gia Hà Nội 2025 (Tập 1) ( 39.000₫ )
- Tuyển tập 30 đề thi đánh giá năng lực Đại học Quốc gia TP Hồ Chí Minh (2 cuốn) ( 140.000₫ )
- Tuyển tập 15 đề thi Đánh giá tư duy Đại học Bách Khoa Hà Nội 2025 (Tập 1) ( 39.000₫ )
- Tuyển tập 30 đề thi đánh giá năng lực Đại học Quốc gia Hà Nội, TP Hồ Chí Minh (2 cuốn) ( 150.000₫ )
CÂU HỎI HOT CÙNG CHỦ ĐỀ
Lời giải
Đáp án
4
Giải thích
Chọn giá trị đại diện cho các nhóm số liệu ta có:
|
Chi phí (triệu đồng/người) |
\(\left[ {5;7,5} \right)\) |
\(\left[ {7,5;10} \right)\) |
\(\left[ {10;12,5} \right)\) |
\(\left[ {12,5;15} \right)\) |
\(\left[ {15;17,5} \right)\) |
\(\left[ {17,5;20} \right)\) |
|
Giá trị đại diện |
6,25 |
8,75 |
11,25 |
13,75 |
16,25 |
18,75 |
|
Số khách hàng |
24 |
20 |
21 |
15 |
11 |
9 |
Chi phí dự kiến trung bình của 100 khách hàng là:
\(\overline x = \frac{1}{{100}}\left( {24.6,25 + 20.8,75 + 21.11,25 + 15.13,75 + 11.16,25 + 9.18,75} \right) = 11,15\) (triệu đồng).
Phương sai và độ lệch chuẩn của mẫu số liệu ghép nhóm về chi phí dự kiến là:
\({s^2} = \frac{1}{{100}}\left[ {24{{(6,25 - 11,15)}^2} + 20{{(8,75 - 11,15)}^2} + \ldots + 9{{(18,75 - 11,15)}^2}} \right] = 15,99\) và \(s \approx 4\).
Lời giải
Đáp án
2.
Giải thích
Ta có: \(\left\{ {\begin{array}{*{20}{l}}{3{x^3} + {{(6 - y)}^2} - 2xy = 0}\\{{x^2} - x + y = - 3}\end{array} \Leftrightarrow \left\{ {\begin{array}{*{20}{l}}{y = - 3 - {x^2} + x}\\{3{x^3} + {{\left( {6 + 3 + {x^2} - x} \right)}^2} - 2x\left( { - 3 - {x^2} + x} \right) = 81{\rm{\;}}\,\,\left( {\rm{*}} \right)}\end{array}} \right.} \right.\)
Xét \(\left( {\rm{*}} \right) \Leftrightarrow {x^4} + 3{x^3} + 17{x^2} - 12x = 0 \Leftrightarrow \left[ {\begin{array}{*{20}{l}}{x = 0}\\{{x^3} + 3{x^2} + 17x - 12 = 0\,\,\left( {{\rm{**}}} \right)}\end{array}} \right.\)
Sử dụng Casio ta thấy phương trình (**) có nghiệm duy nhất.
Vậy hệ phương trình có hai nghiệm.
Câu 3
Lời giải
Bạn cần đăng ký gói VIP ( giá chỉ từ 199K ) để làm bài, xem đáp án và lời giải chi tiết không giới hạn.
Lời giải
Bạn cần đăng ký gói VIP ( giá chỉ từ 199K ) để làm bài, xem đáp án và lời giải chi tiết không giới hạn.
Câu 5
Lời giải
Bạn cần đăng ký gói VIP ( giá chỉ từ 199K ) để làm bài, xem đáp án và lời giải chi tiết không giới hạn.
Câu 6
Lời giải
Bạn cần đăng ký gói VIP ( giá chỉ từ 199K ) để làm bài, xem đáp án và lời giải chi tiết không giới hạn.
Câu 7
Lời giải
Bạn cần đăng ký gói VIP ( giá chỉ từ 199K ) để làm bài, xem đáp án và lời giải chi tiết không giới hạn.


