Một học sinh làm bài kiểm tra môn Toán gồm 50 câu trắc nghiệm chọn một đáp án. Bạn đó đã làm được chắc chắn đúng 42 câu. Trong 8 câu còn lại chỉ có 3 câu bạn loại trừ được mỗi câu một chọn chắc chắn sai. Do đó không đủ thời gian nên bạn bắt buộc phải khoanh bừa các câu còn lại. Xác suất bạn đó được 9,4 điểm là
Quảng cáo
Trả lời:
Đáp án đúng là A
Phương pháp giải
Tính xác suất.
Lời giải
Trong 8 câu còn lại chỉ có 3 câu bạn học sinh loại từ được mỗi câu một lựa chọn sai.
Khi đó ta có: \(n\left( {\rm{\Omega }} \right) = {2^3}{.4^5}\).
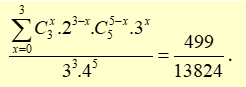
Vì bạn học sinh đã làm đúng 42 câu nên để được 9, 4 điểm thì phải đúng 5 câu trong 8 câu còn lại.
Ta gọi \(x\) là số câu làm đúng trong 5 câu chưa loại trừ được thì \(\left( {5 - x} \right)\) là số câu làm đúng trong 3 câu đã loại trừ được .
Khi đó ta có xác suất bạn học sinh được 9,4 điểm là:
Hot: 1000+ Đề thi giữa kì 2 file word cấu trúc mới 2026 Toán, Văn, Anh... lớp 1-12 (chỉ từ 60k). Tải ngay
- Tuyển tập 15 đề thi Đánh giá tư duy Đại học Bách Khoa Hà Nội 2025 (Tập 1) ( 39.000₫ )
- Tuyển tập 30 đề thi đánh giá năng lực Đại học Quốc gia Hà Nội 2025 (Tập 1) ( 39.000₫ )
- Tuyển tập 30 đề thi đánh giá năng lực Đại học Quốc gia TP Hồ Chí Minh (2 cuốn) ( 140.000₫ )
- Tuyển tập 30 đề thi đánh giá năng lực Đại học Quốc gia Hà Nội, TP Hồ Chí Minh (2 cuốn) ( 150.000₫ )
CÂU HỎI HOT CÙNG CHỦ ĐỀ
Lời giải
Đáp án đúng là "2/3"
Phương pháp giải
Xác suất có điều kiện.
Lời giải
Gọi A là biến cố "người được chọn là nam"
Gọi \(B\) là biến cố "Người được chọn là người phải trực"
Khi đó ta có \(\overline A \) là biến cố "người được chọn là nữ", suy ra \[P\left( {\overline A } \right) = \frac{{30}}{{100}} = \frac{3}{{10}}\].
Là biến cố "người được chọn là nữ gần cơ quan", suy ra \(P\left( {B\overline A } \right) = \frac{{60 - 40}}{{100}} = \frac{2}{{10}}\).
Xác suất người được chọn là nữ và là người trực cơ quan là
\(P\left( {B\mid A} \right) = \frac{{P\left( {B\overline A } \right)}}{{P\left( {\overline A } \right)}} = \frac{{\frac{2}{{10}}}}{{\frac{3}{{10}}}} = \frac{2}{3}\).
Câu 2
Lời giải
Đáp án đúng B
Phương pháp giải
Dựa vào lí thuyết phần Nông nghiệp, lâm nghiệp và thủy sản.
Lời giải
- Sản lượng thủy sản khai thác có tốc độ tăng chậm hơn sản lượng thủy sản nuôi trồng chủ yếu là do gặp khó khăn về phương tiện, nguồn lợi hải sản ven bờ suy giảm, thiên tai (điển hình là bão).
- A sai vì thị trường tiêu thụ ngành thủy sản này càng mở rộng, thủy sản ngoài khơi rất đa dạng, nhiều loài có giá trị kinh tế cao.
- C, D sai vì nước ta nằm trong vùng nhiệt đới => khí hậu thuận lợi cho việc đánh bắt và nuôi trồng thủy sản, ngư dân có nhiều kinh nghiệm.
Câu 3
Lời giải
Bạn cần đăng ký gói VIP ( giá chỉ từ 199K ) để làm bài, xem đáp án và lời giải chi tiết không giới hạn.
Lời giải
Bạn cần đăng ký gói VIP ( giá chỉ từ 199K ) để làm bài, xem đáp án và lời giải chi tiết không giới hạn.
Câu 5
Lời giải
Bạn cần đăng ký gói VIP ( giá chỉ từ 199K ) để làm bài, xem đáp án và lời giải chi tiết không giới hạn.
Câu 6
Lời giải
Bạn cần đăng ký gói VIP ( giá chỉ từ 199K ) để làm bài, xem đáp án và lời giải chi tiết không giới hạn.
Câu 7
Lời giải
Bạn cần đăng ký gói VIP ( giá chỉ từ 199K ) để làm bài, xem đáp án và lời giải chi tiết không giới hạn.

